2008年全国硕士研究生入学统一考试试题
一、选择题:第(1)~(8)小题,每小题4分,共32分.下列每题给出的四个选项中,只有一个选项是符合题目要求的.
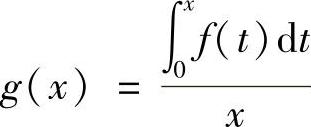
(1)设函数f(x)在区间[-1,1]上连续,则x=0是函数
的
(A)跳跃间断点.(B)可去间断点.
(C)无穷间断点.(D)振荡间断点.
[ ]
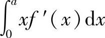
(2)如右图所示,曲线段的方程为y=f(x),函数f(x)在区间[0,a]上有连续的导数,则定积分
等于
(A)曲边梯形ABOD的面积.
(B)梯形ABOD的面积.
(C)曲边三角形ACD的面积.
(D)三角形ACD的面积.

[ ]
(3)已知
,则
(A)fx′(0,0),fy′(0,0)都存在.
(B)fx′(0,0)不存在,fy′(0,0)存在.
(C)fx′(0,0)存在,fy′(0,0)不存在.
(D)fx′(0,0),fy′(0,0)都不存在.
[ ]
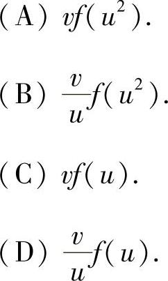
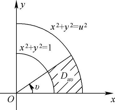
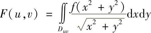
(4)设函数f连续.若
,其中区域Duv为下图中阴影部分,
则


[ ]
(5)设A为n阶非零矩阵,E为n阶单位矩阵.若A3=O,则
(A)E-A不可逆,E+A不可逆.
(B)E-A不可逆,E+A可逆.
(C)E-A可逆,E+A可逆.
(D)E-A可逆,E+A不可逆.
[ ]
(6)设
,则在实数域上与A合同的矩阵为

[ ]
(7)设随机变量X,Y独立同分布,且X的分布函数为F(x),则Z=max{X,Y}的分布函数为
(A)F2(x).(B)F(x)F(y).
(C)1-[1-F(x)]2.(D)[1-F(x)][1-F(y)].
[ ]
(8)设随机变量X~N(0,1),Y~N(1,4),且相关系数ρXY=1,则
(A)P{Y=-2X-1}=1.(B)P{Y=2X-1}=1.
(C)P{Y=-2X+1}=1.(D)P{Y=2X+1}=1.
[ ]
二、填空题:第(9)~(14)小题,每小题4分,共24分.(https://www.daowen.com)
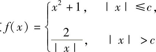
(9)设函数
在(-∞,+∞)内连续,则c=.
(10)设
,则
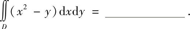
(11)设D={(x,y)|x2+y2≤1},则
(12)微分方程xy′+y=0满足条件y(1)=1的解是y=____.
(13)设3阶矩阵A的特征值为1,2,2,E为3阶单位矩阵,则|4A-1-E|=____.
(14)设随机变量X服从参数为1的泊松分布,则P(X=EX2)=____.
三、解答题:第(15)~(23)小题,共94分.解答应写出文字说明、证明过程或演算步骤.
(15)(本题满分9分)
求极限
(16)(本题满分10分)
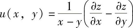
设z=z(x,y)是由方程x2+y2-z=φ(x+y+z)所确定的函数,其中φ具有二阶导数,且φ′≠-1.
(Ⅰ)求dz;
(Ⅱ)记
,求
(17)(本题满分11分)
计算
,其中D={(x,y)|0≤x≤2,0≤y≤2}.
(18)(本题满分10分)
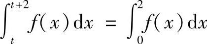
设f(x)是周期为2的连续函数.
(Ⅰ)证明:对任意的实数t,有
;
(Ⅱ)证明:
是周期为2的周期函数.
(19)(本题满分10分)
设银行存款的年利率为r=0.05,并依年复利计算.某基金会希望通过存款A万元实现第一年提取19万元,第二年提取28万元,…,第n年提取(10+9n)万元,并能按此规律一直提取下去,问A至少应为多少万元?
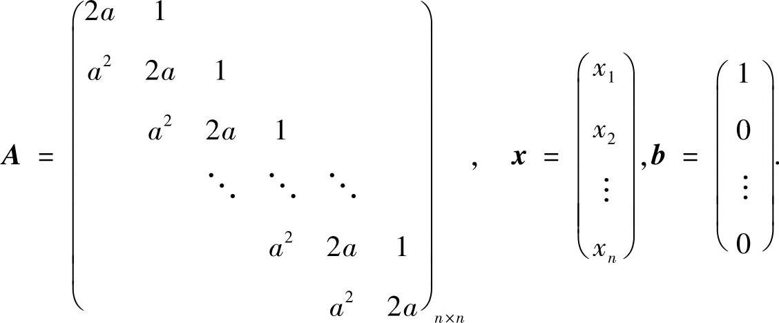
(20)(本题满分12分)
设n元线性方程组Ax=b,其中

(Ⅰ)证明:行列式|A|=(n+1)an;
(Ⅱ)当a为何值时,该方程组有唯一解,并求x1;
(Ⅲ)当a为何值时,该方程组有无穷多解,并求通解.
(21)(本题满分10分)
设A为3阶矩阵,α1,α2为A的分别属于特征值-1,1的特征向量,向量α3满足Aα3=α2+α3.
(Ⅰ)证明:α1,α2,α3线性无关;
(Ⅱ)令P=(α1,α2,α3),求P-1AP.
(22)(本题满分11分)
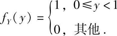
设随机变量X与Y相互独立,X的概率分布为
,Y的概率密度为
,
记Z=X+Y.
(Ⅰ)求
;
(Ⅱ)求Z的概率密度fZ(z).
(23)(本题满分11分)
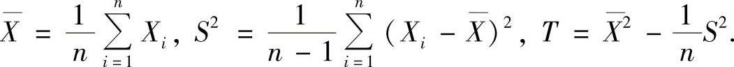
设X1,X2,…,Xn是总体N(μ,σ2)的简单随机样本.记

(Ⅰ)证明:T是μ2的无偏估计量;
(Ⅱ)当μ=0,σ=1时,求DT.