2006年全国硕士研究生入学统一考试试题
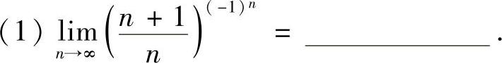
一、填空题:第(1)~(6)小题,每小题4分,共24分.

(2)设函数f(x)在x=2的某邻域内可导,且f′(x)=ef(x),f(2)=1,则f‴(2)=____.
(3)设函数f(u)可微,且
,则z=f(4x2-y2)在点(1,2)处的全微分dz||=____.
(4)设矩阵
,E为二阶单位矩阵,矩阵B满足BA=B+2E,则|B|=____.
(5)设随机变量X与Y相互独立,且均服从区间[0,3]上的均匀分布,则P(max{X,Y}≤1)=____.
(6)设总体X的概率密度为
,X1,X2,…,Xn为总体X的简单随机样本,其样本方差为S2,则E(S2)=____.
二、选择题:第(7)~(14)小题,每小题4分,共32分.在每小题给出的四个选项中,只有一项符合题目要求.
(7)设函数y=f(x)具有二阶导数,且f′(x)>0,f″(x)>0,Δx为自变量x在点x0处的增量,Δy与dy分别为f(x)在点x0处对应的增量与微分,若Δx>0,则
(A)0<dy<Δy.(B)0<Δy<dy.(C)Δy<dy<0.(D)dy<Δy<0.
[ ]
(8)设函数f(x)在x=0处连续,且
,则
(A)f(0)=0且f′-(0)存在.(B)f(0)=1且f′-(0)存在.
(C)f(0)=0且f′+(0)存在.(D)f(0)=1且f′+(0)存在.
[ ]
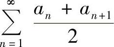
(9)若级数
收敛,则级数
(A)
收敛.
(B)
收敛.(C)
收敛.
(D)
收敛.
[ ]
(10)设非齐次线性微分方程y′+P(x)y=Q(x)有两个不同的解y1(x)和y2(x),C为任意常数,则该方程的通解是
(A)C[y1(x)-y2(x)].(B)y1(x)+C[y1(x)-y2(x)].
(C)C[y1(x)+y2(x)].(D)y1(x)+C[y1(x)+y2(x)].
[ ]
(11)设f(x,y)与φ(x,y)均为可微函数,且φy(x,y)≠0.已知(x0,y0)是f(x,y)在约束条件φ(x,y)=0下的一个极值点,下列选项正确的是
(A)若fx(x0,y0)=0,则fy(x0,y0)=0.
(B)若fx(x0,y0)=0,则fy(x0,y0)≠0.
(C)若fx(x0,y0)≠0,则fy(x0,y0)=0.
(D)若fx(x0,y0)≠0,则fy(x0,y0)≠0.
[ ]
(12)设α1,α2,…,αs均为n维列向量,A是m×n矩阵,下列选项正确的是
(A)若α1,α2,…,αs线性相关,则Aα1,Aα2,…,Aαs线性相关.
(B)若α1,α2,…,αs线性相关,则Aα1,Aα2,…,Aαs线性无关.
(C)若α1,α2,…,αs线性无关,则Aα1,Aα2,…,Aαs线性相关.
(D)若α1,α2,…,αs线性无关,则Aα1,Aα2,…,Aαs线性无关.
[ ]
(13)设A为3阶矩阵,将A的第2行加到第1行得B,再将B的第1列的-1倍加到第2列得C,记
,则
(A)C=P-1AP.(B)C=PAP-1.(C)C=PTAP.(D)C=PAPT.
[ ]
(14)设随机变量X服从正态分布N(μ1,σ21),随机变量Y服从正态分布N(μ2,σ22),且(https://www.daowen.com)
P(X-μ1<1)>P(Y-μ2<1),
则必有
(A)σ1<σ2.(B)σ1>σ2.(C)μ1<μ2.(D)μ1>μ2.
[ ]
三、解答题:第(15)~(23)小题,共94分.解答应写出文字说明、证明过程或演算步骤.
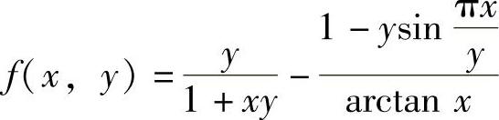
(15)(本题满分7分)
设
,x>0,y>0.求:
(Ⅰ)
;
(Ⅱ)
(16)(本题满分7分)
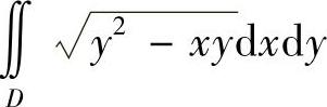
计算二重积分
,其中D是由直线y=x、y=1、x=0所围成的平面区域.
(17)(本题满分10分)
证明:当0<a<b<π时,
bsin b+2cos b+πb>asin a+2cos a+πa.
(18)(本题满分8分)
在xOy坐标平面上,连续曲线L过点M(1,0),其上任意点P(x,y)(x≠0)处的切线斜率与直线OP的斜率之差等于ax(常数a>0).
(Ⅰ)求L的方程;
(Ⅱ)当L与直线y=ax所围成平面图形的面积为
时,确定a的值.
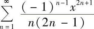
(19)(本题满分10分)
求幂级数
的收敛域及和函数s(x).
(20)(本题满分13分)
设四维向量组α1=(1+a,1,1,1)T,α2=(2,2+a,2,2)T,α3=(3,3,3+a,3)T,α4=(4,4,4,4+a)T,问a为何值时,α1,α2,α3,α4线性相关?当α1,α2,α3,α4线性相关时,求其一个极大线性无关组,并将其余向量用该极大线性无关组线性表出.
(21)(本题满分13分)
设三阶实对称矩阵A的各行元素之和均为3,向量α1=(-1,2,-1)T,α2=(0,-1,1)T是线性方程组Ax=0的两个解.
(Ⅰ)求A的特征值与特征向量;
(Ⅱ)求正交矩阵Q和对角矩阵Λ,使得QTAQ=Λ;
(Ⅲ)求A及
,其中E为三阶单位矩阵.
(22)(本题满分13分)
设随机变量X的概率密度为

令Y=X2,F(x,y)为二维随机变量(X,Y)的分布函数.求:
(Ⅰ)Y的概率密度fY(y);
(Ⅱ)Cov(X,Y);
(Ⅲ)
.
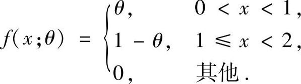
(23)(本题满分13分)
设总体X的概率密度为

其中θ是未知参数(0<θ<1).X1,X2,…,Xn为来自总体X的简单随机样本,记N为样本值x1,x2,…,xn中小于1的个数.求:
(Ⅰ)θ的矩估计;
(Ⅱ)θ的最大似然估计.