2012年全国硕士研究生入学统一考试试题
一、选择题:第(1)~(8)小题,每小题4分,共32分.下列每题给出的四个选项中,只有一个选项符合题目要求.
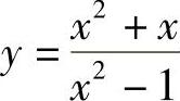
(1)曲线
渐近线的条数为
(A)0.(B)1.(C)2.(D)3.
[ ]
(2)设函数f(x)=(ex-1)(e2x-2)…(enx-n),其中n为正整数,则f′(0)=
(A)(-1)n-1(n-1)! (B)(-1)n(n-1)!.
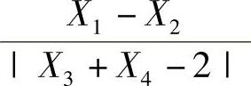
(C)(-1)n-1n!.(D)(-1)nn!.
[ ]
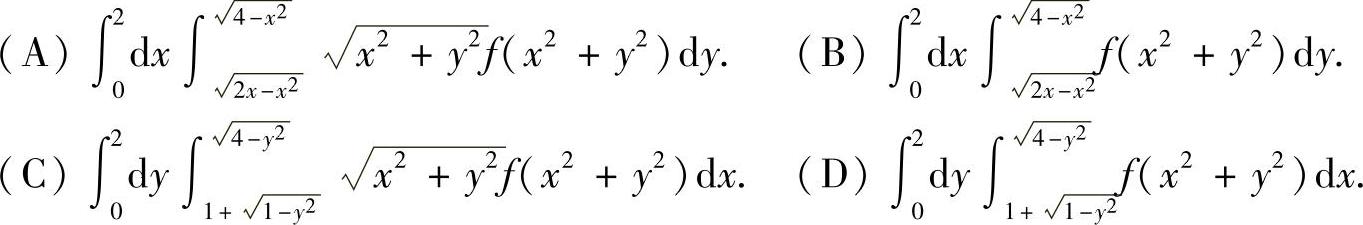
(3)设函数f(t)连续,则二次积分

[ ]
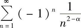
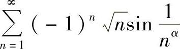
(4)已知级数
绝对收敛,级数
条件收敛,则

[ ]
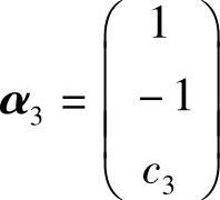
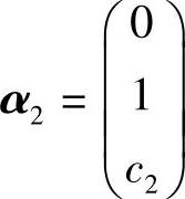
(5)设
,
,
,
,其中c1,c2,c3,c4都为任意常数,则下列向量组线性相关的为
(A)α1,α2,α3.(B)α1,α2,α4.(C)α1,α3,α4.(D)α2,α3,α4.
[ ]
(6)设A为三阶矩阵,P为三阶可逆矩阵,且
.若P=(α1,α2,α3),Q=(α1+α2,α2,α3),则Q-1AQ=

[ ]
(7)设随机变量X与Y相互独立,且都服从区间(0,1)内的均匀分布,则P(X2+Y2≤1)=

[ ]
(8)设X1,X2,X3,X4为来自总体N(1,σ2)(σ>0)的简单随机样本,则统计量
的分布为
(A)N(0,1).(B)t(1).(C)χ2(1).(D)F(1,1).
[ ]
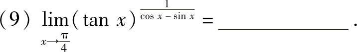
二、填空题:第(9)~(14)小题,每小题4分,共24分.

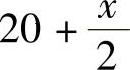
(10)设函数
,则
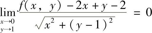
(11)设连续函数z=f(x,y)满足
,则dz|(0,1)=____.
(12)由曲线
和直线y=x及y=4x在第一象限中所围成的平面图形的面积为|.
(13)设A为3阶矩阵,|A|=3,A∗为A的伴随矩阵.若交换A的第1行与第2行所得矩阵为B,则|BA∗|=____.
(14)设A,B,C是随机事件,A与C互不相容,
,
,则
.(https://www.daowen.com)
三、解答题:第(15)~(23)小题,共94分.解答应写出文字说明、证明过程或演算步骤.
(15)(本题满分10分)
求极限
.
(16)(本题满分10分)
计算二重积分
,其中D是以曲线
,
及y轴为边界的无界区域.
(17)(本题满分10分)
某企业为生产甲、乙两种型号的产品,投入的固定成本为10000(万元).设该企业生产甲、乙两种产品的产量分别为x(件)和y(件),且这两种产品的边际成本分别为
(万元/件)与6+y(万元/件).
(Ⅰ)求生产甲、乙两种产品的总成本函数C(x,y)(万元);
(Ⅱ)当总产量为50件时,甲、乙两种产品的产量各为多少时可使总成本最小?求最小成本.
(Ⅲ)求总产量为50件且总成本最小时,甲产品的边际成本,并解释其经济意义.
(18)(本题满分10分)
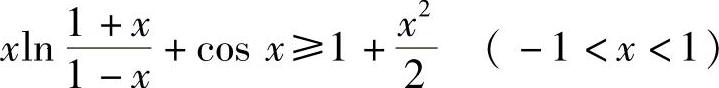
证明:
.
(19)(本题满分10分)
已知函数f(x)满足方程f″(x)+f′(x)-2f(x)=0及f″(x)+f(x)=2ex.
(Ⅰ)求f(x)的表达式;
(Ⅱ)求曲线
的拐点.
(20)(本题满分11分)
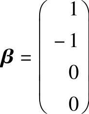
设
,
.
(Ⅰ)计算行列式A;
(Ⅱ)当实数a为何值时,方程组Ax=β有无穷多解,并求其通解.
(21)(本题满分11分)
已知
及二次型f(x1,x2,x3)=xT(ATA)x的秩为2.
(Ⅰ)求实数a的值;
(Ⅱ)求正交变换x=Qy,将f化为标准形.
(22)(本题满分11分)
设二维离散型随机变量X、Y的概率分布为

(Ⅰ)求P(X=2Y);
(Ⅱ)求Cov(X-Y,Y).
(23)(本题满分11分)
设随机变量X与Y相互独立,且服从参数为1的指数分布.
记U=max{X,Y},V=min{X,Y}
(Ⅰ)求V的概率密度fV(v);
(Ⅱ)求E(U+V).