3.3.3 一致性评价方法
2025年10月13日
3.3.3 一致性评价方法
一致性指的是值与值之间相互接近的程度[159]。从以上对信度和效度的阐述中可以看出,测量结果一致性的高低是信效度评价的重要标准。对于不同的变量,计算一致性的方法也有所不同。由于本研究的评价结果为二元无序变量(适宜=1,不适宜=0),故采用总体一致性(overall agreement),个别一致性(specific agreement)以及κ系数(Cohen's Kappa)对一致性进行评价。
总体一致性一般由评价者间的一致评价数占总评价数的比例来度量,也就是表3-6中的×100%;个别一致性由至少有一个评价者认为该评价对象是不适宜时的一致意见占的比例来度量,即表3-6中的
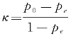
×100%。某些评价者之间的判断有可能是偶然的机会造成的,而κ系数则是对排除了“巧合”影响的实际总体一致性情况的度量[160,161],系数的计算公式为
,其中p0为观察到的一致性,pe为由于“巧合”产生的一致性。κ系数的值介于-1和1之间,根据Landis和Koch的标准,一般认为,若κ≥0.61则表示一致性较高,0.60≥κ≥0.41则表示一致性一般,若κ≤0.40则认为一致性较差[160]。
表3-6 一致性计算示意表