2.2.3 KPSS检验
2026年01月14日
2.2.3 KPSS检验
Kwiathowski,Phillips,Schmidt与Shin(1992)提出了KPSS检验,此检验用以判别平稳序列I(0)与非平稳序列I(1)。KPSS检验的基本思想是对从待检验序列中剔除截距项和趋势项后的序列
构造LM统计量。
KPSS检验的回归方程为:
![]()
对该回归方程作OLS估计可得
为剔除截距和趋势项后的序列,KPSS检验即检验该序列是否存在单位根以判定原序列{yt}是否存在单位根。
检验的原假设H0:序列{yt}是(趋势)平稳的;备择假设H1:序列{yt}是非平稳的。
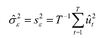
当序列{ut}不存在序列相关时,检验统计量为:![]()

其中,部分和为ut的方差σ2的一致估计,可用
的方差近似:
。
而当序列{ut}存在序列相关时,检验统计量则为:(https://www.daowen.com)

其中
为ut的长期方差σ2的一致估计,其近似值与PP检验分析相同。
在原假设成立的条件下,当为水平平稳情形(δ=0),则当T→∞时,有:
![]()
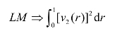
当为趋势平稳情形(δ≠0),则当T→∞时,有:

其中v2(r)为二阶布朗桥[3]。
实际应用时,可利用各统计量的经验分布临界值表和响应面函数。