2.2.4 SP检验
2026年01月14日
2.2.4 SP检验
Schmidt与Phillips(1992)提出了一个得分统计量,此得分统计量用以检验差分平稳与趋势平稳,称之为SP检验。
SP检验考虑的模型为:
![]()
检验的原假设H0:序列{yt}为一带漂移的随机游走;备择假设H1:序列{yt}是趋势平稳的。即原假设对应的模型为:
![]()
备择假设对应的模型为:
![]()
其中{εt}为i.i.d序列,均值为零,方差为σ2。
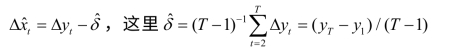
利用OLS对式(2-20)进行去趋势后,有:

令部分和
,则若原假设成立,即考察方程:

检查系数是否满足φ=0,从而将其转换为DF检验的模型形式(2-3a)(2-3b)(这里讨论时常用第二种无截距情形,即式(2-23b))。(https://www.daowen.com)
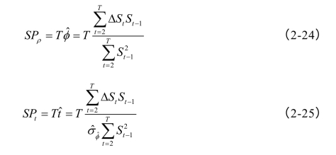
Schmidt与Phillips(1992)构造的检验统计量为:
对于无截距情形,有:

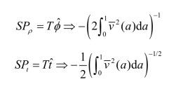
则在原假设成立的条件下,当T→∞时,有:

这里
,
为标准布朗桥。
若考虑到可能的序列相关,则有:
![]()
其中,
且C(1)≠0。
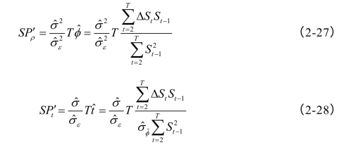
则应与PP检验分析相同:令
为εt的方差,记部分和
,则
,其一致估计
用
来代替;σ2≡λ为εt的长期方差,记部分和
,则
,其估计思路与PP检验一样可使用非参数核估计[4]。这里
,调整后的SP检验统计量为:

调整后的统计量与原检验统计量的分布相同。