人力资源供给与需求预测
第二节 人力资源供给与需求预测
人力资源供给预测是指为了满足组织在未来一段时间的人力资源需求,而对将来某个时期内组织从内部和外部可以获得的人力资源数量、质量和结构进行预测。人力资源需求预测是分析当前组织的人力资源配置是否合理以及未来的人力资源需求,预测组织总体规划实施所需要的人员数量、质量以及结构。人力资源供求预测是人力资源规划过程中的最关键性环节。
一、人力资源供给分析
人力资源供给分析需要研究组织内部供给和组织外部供给两个方面:
(一)人力资源内部供给分析
由于人力资源的内部供给来自组织内部,因此组织在预测期内所拥有的人力资源就形成了内部供给的全部来源,所以内部供给分析主要是对现有人力资源的存量及其在未来的变化情况做出判断,这种分析主要有以下几种:
1.现有人力资源的分析
人力资源不同于其他资源,即使外部条件都保持不变,人力资源自身的自然变化也会影响到未来的供给,比如退休、生育等,因此在预测未来人力资源的供给时,需要对现有的人力资源状况做出分析。例如,企业现有58岁的男性员工30人,那么即使没有其他因素的影响,由于这些人两年后要退休,因此后年企业内部的人力资源供给就会减少30人。一般来说,现有人力资源的分析主要是对年龄结构做出分析,因为人力资源自身的变化大多与年龄有关,此外,对员工的性别、身体状况等也要进行分析。
2.人员流动的分析
在进行人员流动分析时,假定人员的质量不发生变化,人员的流动主要包括两种:
(1)人员由组织流出。由组织流出的人员数量就形成了内部人力资源供给减少的数量,造成人员流出的原因有很多,如辞职、辞退等。举一个例子,比如组织现有1000人,预测后年的辞职率为3%,那么后年的人力资源供给就要减少30人。
(2)人员在组织内部的流动。对这种流动的分析应针对具体的部门、职位层次或职位类别来进行,虽然这种流动对于整个组织来说并没有影响到人力资源的供给,但是会对内部的供给结构造成影响。例如,当人员由B部门流入到A部门时,对A部门来说,由于流入了人员,供给量会增加,流入了多少人员,其内部的人力资源供给就增加了多少;而对B部门来说,由于流出了人员,供给量会减少,流出了多少人员,其内部的人力资源供给就减少了多少。在分析组织内部的人员流动时,不仅要分析实际发生的流动,还要分析可能的流动,也就是说,要分析现有人员在组织内部调换职位的可能性,这可以预测出潜在的内部供给。例如对于A职位来说,在未来的第三年有15名员工可以从事该职位,那么对于这一职位来说就有15人的内部供给。与分析实际流动一样,分析可能流动时也要针对具体的部门、职位层次或职位类别来进行。分析员工可能的流动性,主要的依据就是绩效考评对员工工作业绩、工作能力的评价结果。
3.人员质量的分析
在进行人员质量分析时,假定人员没有发生流动,人员质量的变化会影响到内部的供给,质量的变动主要表现为生产效率的变化。当其他条件不变时,生产效率提高,内部的人力资源供给相应就增加;相反,内部的供给就减少。影响人员质量的因素有很多,如员工教育水平、企业培训等。对人员质量的分析不仅包括显性的情况,而且还要分析隐性的情况,如加班加点,虽然员工实际的生产效率没有发生变化,但是由于工作时间延长了,相应地每个人完成的工作量就增多了,这同样也增加了内部供给,类似的还有工作分享、缩短工作时间等。
(二)人力资源外部供给分析
由于外部供给在大多数情况下并不能被组织所直接掌握和控制,因此,外部供给的分析主要是对影响供给的因素进行判断,从而对外部供给的有效性和变化趋势做出预测。
一般来说,影响外部供给的因素主要有外部劳动力市场的状况,人们的就业意识也会影响外部的供给,如果组织不属于人们择业时的首选行业,外部供给量自然就比较少,反之,就比较多。组织的吸引力也会影响外部的供给,当组织对人们的吸引力比较强时,人们都会愿意到这里来工作,供给量就会比较多;相反,如果组织不具有吸引力,人们都不愿意到这里来工作,供给量就会减少。在分析组织的吸引力时,不仅要看绝对的水平,还要看相对的水平,即与竞争对手相比的吸引力情况,这对吸引专业性较强的人力资源来说更有意义。
二、人力资源供给预测方法
进行人力资源供给预测的思路是:首先确定各个工作岗位上现有的员工数量;然后估计在下一个时期每个工作岗位上留存的员工数量;最后需要估计有多少员工将会调离原来的岗位。由于人力资源的供给来源于两方面,即组织内部和组织外部,因此,人力资源供给预测也包括内部供给预测和外部供给预测。
(一)内部供给预测方法
常用的人力资源内部供给预测方法主要有人员接续计划、技能清单、马尔可夫模型。
1.人员接续计划
人员接续计划是根据员工当前工作绩效、晋升的可能性和所需要的培训内容等,来决定有哪些人员可以补充组织的空缺职位。制订人员接续计划的过程是:首先,根据工作分析信息明确工作职位对员工的具体要求,并确定职位需要的人数;其次,根据绩效考评结果确定空缺职位的继任人选、评价接任人选当前的工作表现及是否达到该职位的工作要求,或者确定哪些员工具有潜力,经过培训后可以胜任这一工作;最后,根据以上数据,组织就可以确定该职位上合适的补充人员。制订人员接续计划,可建立后续人才储备梯队,根据职位要求提前进行相关培训,这样既培养了组织的后备人才,又可以避免组织中人力资源中断的风险。
2.技能清单
技能清单是一个用来反映员工工作能力特征的列表,这些特征包括员工所接受的培训背景、以前的经历、持有的相关证书、监督判断能力,甚至包括对其实力或耐心的测试情况。技能清单能够体现各种关键能力,可以帮助人力资源管理者按照员工的职业资格预测其从事新职业的可能性。技能清单是员工竞争力的一个反映,可以用来帮助人力资源管理者估计现有员工调换工作岗位的可能性,帮助预测潜在的人力资源供给。组织的人力资源规划不仅要保证为组织中空缺的工作岗位提供相应数量的员工,同时还要保证每个空缺都有合适的人员来填充。因此,有必要建立员工的工作能力记录,其中包括基层操作员工的技能和管理人员管理能力的种类及所达到的水平。表3-3是一个技能清单的实例。
表3-3 人事资料登记表

技能清单的一般作用是服务于晋升人选的确定、管理人员接续计划、对特殊项目的工作分配、工作调动、培训、工资奖励计划、职业生涯规划和组织结构分析。对于要求其成员频繁调动的组织或者经常组建临时性团队或项目组的组织,其技术档案中应该包括所有的员工。而对于那些主要使用技能清单来制订管理人员接续计划的组织,技能清单中可以只包括管理人员。
3.马尔可夫模型
马尔可夫模型也称为转换矩阵方法。马尔可夫模型是一种定量分析预测组织内部人力资源供给的方法,它是用预测等时间间隔点(一般为一年)上各类人员分布状况的一种动态预测技术。它的基本思路是找出过去人事变动的规律,以此来推测未来人事变动趋势。该方法的前提是:组织内部人员有规律地流动,且其流动概率有一定的规律。
该方法的第一步是制作一张人员变动矩阵表,表中的每一个元素表示从一个时期到另一个时期在两个工作之间调动的员工数量的历史平均百分比。这些数据实际上反映的是每种工作人员变动的概率。将计划期初每种工作的人员数量与每种工作的人员变动概率相乘,然后纵向相加,就可以得到组织内部未来人力资源的净供给量。例如,某会计师事务所有四类人员:合伙人(P),经理(M),高级会计师(S),会计员(J)。其初始人数和转移矩阵如表3-4(a)所示。表3-4(a)表明,在任何一年里,有80%的合伙人仍留在该所,20%的合伙人退出;有70%的经理仍在原职,10%的经理成为合伙人,20%的经理离开;有5%的高级会计师升为经理,80%的高级会计师仍在原职,5%的高级会计师降为会计员,10%的高级会计师外流;有15%的会计员晋升为高级会计师,20%的会计员另谋他职。用这些历史数据来代表每类人员转移流动的转移率,可以推算出人员变动情况,即起始时刻每一类人员的数量与每一类人员的转移率相乘,然后纵向相加,就可以得到下一年各类人员的供给量,如表3-4(b)所示。
表3-4(a) 某会计师事务所人力资源供给情况的马尔可夫模型初始人数

表3-4(b) 某会计师事务所人力资源供给情况的马尔可夫模型

从表3-4(b)可以看出,该事务所下一年将有相同数量的合伙人(40人)和相同数量的高级会计师(120人)。但是,经理将减少18人,会计员将减少50人。可以根据这些数据和正常的人员扩大、缩减或维持计划来采取措施,使人力资源的供给与需求保持平衡。
(二)外部供给预测方法
常用的人力资源外部供给预测方法主要有市场调查预测法和相关因素预测法。
1.市场调查预测法
市场调查预测法是人力资源管理者组织或参与市场调查,在掌握了劳动力市场信息的基础上,经过分析和推算,预测劳动力市场发展规律和趋势的方法。市场调查预测法的优点在于它的客观性,人为的主观判断较少,因此这种方法也可称为客观性市场预测法。
市场调查要想取得成功必须有一个完整的调查过程,它一般包括六个阶段:第一,确定调查的目的和任务;第二,对背景状况进行分析,主要是结合组织现状对市场动态进行初步分析,明确调查的范围和对象;第三,确定调查方案和调查方法,调查方案有普查、抽样调查、典型调查三种,而调查方法有文献查阅法、询问法、实验法、直接观察法、会议调查法等,调查人员要结合实际,选择合适的调查方案和方法;第四,非正式调查阶段,为正式调查做好准备;第五,正式调查阶段,是整个过程的核心阶段;第六,对调查数据的整理和分析阶段,获取未来外部劳动力市场所能提供的人力资源状况。
2.相关因素预测法
相关因素预测法是通过调查分析,找出影响劳动力市场供给的各种因素,分析其对劳动力市场发展变化的作用方向和影响程度,预测未来劳动力市场的发展规律和趋势。因为影响因素非常多,所以通常只是对主要因素进行分析,包括组织因素和劳动生产率等。
组织因素的分析,一般是分析劳动力数量对供给的影响。但在某些行业里,由于劳动力数量和产量不成比例,因此,必须分别对不同的产品或不同的人力资源进行预测。对于劳动生产率的分析,是要确定劳动生产率的变化趋势以及对趋势的调整。
相关因素分析方法是一种经验预测方法,为了提高其预测的准确性,有时还要进行定量预测,如线性回归预测等。
三、人力资源需求分析
对人力资源的需求进行预测,不同的人可能有着不同的思路,为了便于理解和操作,可以按照对职位进行分析的思路来预测人力资源需求。组织对人力资源的需求直接与组织内部的职位联系在一起,组织设置多少职位,就需要多少人员;组织设置什么样的职位,就需要什么样的人员。因此,只要能够预测出组织内部职位的变动,相应地就可以预测出组织对人力资源的需求,当然这种预测既要有数量上的也要有结构上的。预测职位变动时通常需要考虑以下几个因素:
(一)组织的发展战略和经营规划
这直接决定着组织未来的职位设置情况。例如,当组织决定实行扩张战略时,未来组织设置的职位肯定要增加。
(二)产品和服务的需求
按照经济学的观点,组织对人力资源的需求是一种派生需求,它源自顾客对组织产品和服务的需求,这两种需求之间是一种正相关的关系,当产品和服务的需求增加时,组织设置的职位相应也会增加;反之,组织设置的职位就会减少。产品和服务需求数量的变化,直接体现在组织经营规模的变化上。
(三)职位的工作量
如果职位的工作量不饱满,就要合并相关的职位,职位数量就要减少;相反,如果职位的工作量超负荷,就要增设相应的职位,职位数量就要增加。衡量职位的工作量是否合理,主要借助职位分析来进行。
(四)生产效率的变化
在其他条件不变的情况下,生产效率的变化会引起职位数量的反向变化,生产效率提高,同一职位承担的工作量增加,职位的设置会减少;生产效率降低,职位的设置就要增加。而引起生产效率变化的原因有很多,如生产技术的改变、工作方式的调整、对工作进行的培训、薪酬水平的提高、员工能力和态度的变化等。
四、人力资源需求预测方法
对人力资源需求进行预测的方法有很多,在此选取几种常用的有代表性的方法进行简要介绍。而且在预测过程中,不可能只用某一种方法,而应当将多种方法结合起来使用,这样预测的结果才会比较准确。
(一)定性分析预测法
1.经验判断法
这种根据以往经验进行预测的方法,简单易行,但带有强烈的主观色彩。因为这种方法主要依靠管理者的个人经验和能力,因此预测结果的准确性有时不能保证,主要用于短期预测。经验判断法通常是由高层主管、部门经理、人力资源经理等人员预测和判断组织在某一时段对劳动力的需求。预测人员需求的依据有组织目标、生产能力、市场需求、销售预测、人员配置和员工的流动性等。这种方法既可以单独使用,也可以与其他方法结合使用。单独使用时,在环境变动不大和组织规模较小或缺少足够信息的情况下,能取得良好的效果。当与其他方法结合使用时,常常是利用管理人员的判断对定量方法的预测结果进行必要的修正。例如,管理者可根据前期的任务完成情况,来预测未来某个时期内,增加相同的任务量将需要增加多少员工,也可以预测未来某个时期内,本组织内哪些岗位上的人将会离开,如晋升、退休、辞退、调动、降职等,这些岗位需要多少人员替补。
2.德尔菲法
德尔菲法来源于20世纪40年代末美国兰德公司的“思想库”,也称为专家预测法或天才预测法。该方法是邀请某一领域的一些专家或有经验的管理人员来对某一问题进行预测,是一种专家对影响企业发展的某一问题的看法达成一致意见的结构化方法。德尔菲法与一般的直观判断法并不同。第一,它汲取和综合了众多专家的智慧信息,以避免个人预测可能出现的信息量小、判断不够准确的缺点;第二,它不采用集体讨论的方式,若专家们面对面地进行集体讨论,会使一些人由于受身份、地位差别等因素的影响而不愿意批评别人,乃至放弃自己的合理意见;第三,它采取多轮预测的方式,经过几轮的反复,专家们的意见趋于一致,具有较高的准确性。
德尔菲法用于人力资源预测的具体操作过程如下:①确定预测目标。通过精心设计的问卷,要求成员提供可能的解决方案。②广泛选择深入了解人力资源问题的专家,并取得他们的合作,向专家们发出问卷,请每一个专家匿名独立完成第一组问卷。③每一组问卷的结果集中进行归纳,在一起编辑、誊写和复制。④将综合结果反馈给专家,每个专家得到一本问卷结果的复制件。⑤请专家根据归纳的结果重新思考,再次提出自己的方案。⑥重复④、⑤两步骤,直到取得大体上一致的意见。
3.工作研究法
工作研究法,又称为职位分析法,是根据具体岗位的工作内容和职责范围,在假定岗位工作人员完全适合岗位的前提下,确定其工作量,最后确定人数。这种方法关键在于是否能制定出科学的岗位用人标准和是否拥有完整详细的职位说明书。当组织结构简单、职责明确的时候,用此法能得到较好的结果。
(二)定量分析预测法
1.趋势分析法
趋势分析法是根据组织的历史资料,分析它在未来的变化趋势并以此来预测组织在未来某一时期的人力资源需求量。这种预测方法相对比较直观,但是由于在使用时一般假设其他的一切因素都保持不变或者变化的幅度保持一致,因此具有较大的局限性,多适用于那些经营稳定的企业,并且主要作为其他方法的辅助法来使用。
趋势分析法的具体做法是:首先收集组织在过去几年内人员数量的数据,并且用这些数据作图;然后用数学方法进行修正,使其成为一条平滑的曲线,将这条曲线延长就可以看出未来的变化趋势。在实践中为了简便起见,往往将这种趋势简化为直线关系。下面通过一个简单的例子来看这种方法如何使用。
例如,某公司过去8年人员的数据如表3-5所示,请预测今后第二年和第四年人力资源的需求是多少。
表3-5 某公司过去8年的人员数量

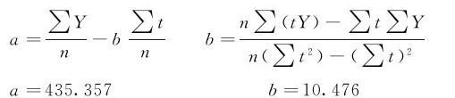
首先要根据过去几年人员的数量来分析它的变化趋势。假设是一种线性变化,人数是变量Y,年度是变量t,那么根据下面的公式可以分别计算出a和b:

由此得出,趋势线可以表示为Y=435.357+10.476t,也就是说,每过一年,企业的人力资源需求要增加10.476,通常取为整数11这样就可以预测出今后第二年(Y1)和第四年(Y2)的人力资源需求:
Y1=435. 357+10.476×(8+2)=540.117≈541
Y2=435. 357+10.476×(8+4)=561.069≈562
所以,今后第二年的人力资源需求为541人,第四年的人力资源需求则为562人。
2.回归预测法
这是从统计学中借鉴过来的一种方法。由于人力资源的需求总是受到某些因素的影响,回归预测法的基本思路就是要找出那些与人力资源需求关系密切的因素,并依据过去的相关资料确定出它们之间的数量关系,建立一个回归方程,然后再根据这些因素的变化以及确定的回归方程来预测未来的人力资源需求。使用回归预测法的关键是要找出那些与人力资源需求高度相关的变量,这样建立起来的回归方程预测效果才会比较好。
根据回归方程中变量的数目,可以将回归预测法分为一元回归预测和多元回归预测两种。一元回归由于只涉及一个变量,因此建立回归方程时相对比较简单;而多元回归由于涉及的变量较多,所以建立方程时要复杂许多,但是它考虑的因素比较全面,所以预测的准确度往往高于前者。由于曲线关系的回归方程建立起来比较复杂,为了便于操作,在实践中往往采用线性回归方程来进行预测。以下就是一个一元线性回归预测的例子。例如,某家医院要预测明年所需的护士数量,如果使用回归预测法,首先就要找出护士的需求量与哪些因素关系比较密切,对相关数据进行统计分析后可以发现病床数与护士的需求量之间相关程度比较高,接下来就是分析它们之间到底是一种什么样的关系。医院的人力资源经理找来了自己医院和其他医院病床数以及护士数的数据,如表3-6所示。
表3-6 病床数和护士数的数量

将病床数设为自变量X,护士数设为因变量Y,两者之间的线性关系可以表示为Y=a+bX,其中计算a和b的方法和趋势分析中使用的方法一样,经过计算得出a=2.357,b=0.891,回归方程就是Y=2.357+0.891X,也就是说每增加一个床位,就要增加0.891个护士。
由于医院准备明年将病床数增加到1000个,所以需要的护士数就是:
Y=2. 357+0.891×1000=893.357≈894(人)
3.比率分析法
比率分析法是通过计算某些原因性因素和所需员工数量之间的比率来确定人力资源需求的方法,主要有两种。一是员工比例法。例如,某企业有200名生产人员和10名管理人员,那么生产人员与管理人员的比率就是20:1,这表明1名管理人员管理20名生产人员。如果企业明年将生产人员扩大到400人,那么根据比率可以确定企业对管理人员的需求为20人,也就是要再增雇10名管理人员。二是生产单位产品比例法。例如,某企业有生产工人100名,每日可生产50000单位产品,即一名生产工人每日可生产500单位产品。如果企业明年要扩大产量,每日生产100000单位产品,根据比率可以确定需要生产工人200名,也就是要再增雇100名生产工人。
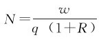
比率分析法假定企业的劳动生产率是不变的,如果考虑到劳动生产率的变化对员工需求量的影响,可用以下计算公式:

式中:N——人力资源需求量;w——计划期内任务总量;q——目前的劳动生产率;R——计划期内生产率变动系数。
R=R1+R2-R3
式中:R1——由于企业技术进步而引起的劳动生产率提高系数;R2——由于经验积累而引起的生产率提高系数;R3——由于年龄增大及某些社会因素而引起的生产率降低系数。
使用比率预测法时,需要对未来的业务量、人均生产率及其变化做出准确的估计,这样对人力资源需求的预测才会比较符合实际,而这往往是比较难做到的。
4.生产函数预测法
生产函数预测法是通过建立生产函数来预测人力资源需求的方法,常见的生产函数有考伯—道格拉斯生产函数,它假定产出水平取决于劳动力和资本两种要素的投入水平,于是可以列出如下公式:

式中,C为常数;Mt为t时期内使用的劳动力总数;Kt为t时期内使用的资本总额;Ut为对数正态分布误差项;Pt为产出水平;a与b分别为劳动力和资本的产出弹性,并且在劳动力和资本互补时,a+b=1。
对式取对数并调整以后可以得到以下公式:

因此,如果已知t时期的产出水平和资本总额,就可以计算出t时期的劳动力需求量。