海陆经济—环境系统
随着海洋经济的发展,沿海地区的城市化、工业化进程不断加快,对海洋及海岸带生态环境也造成了巨大的压力,海洋环境遭到破坏。根据《2011年中国海洋环境状况公报》显示[38],第四类海水水质标准的海域面积为18 340km2,低于第四类海水水质标准的海域面积为43 800km2,到2012年,严重污染海水面积达到68 000km2,近海海域污染日趋严重(图4-26)。因此,协调海陆经济—环境系统,保护海洋、海岸带生态环境,做好海洋、海岸带污染防治工作,成为海陆统筹的重要任务。

图4-26 近岸严重污染海域面积变化趋势及其拟合关系
(一)海—陆经济环境的互动效应
从海洋经济—生态环境系统的拟合关系来看,海洋经济的增长与近岸严重污染海域面积拟合关系呈现二次多项式关系,在20世纪90年代末期,海洋生态环境略有所改善,而进入21世纪以来,特别是最近五六年以来,随着海洋经济的快速增长,近岸海域环境

图4-27 海洋GDP与赤潮发生次数拟合关系

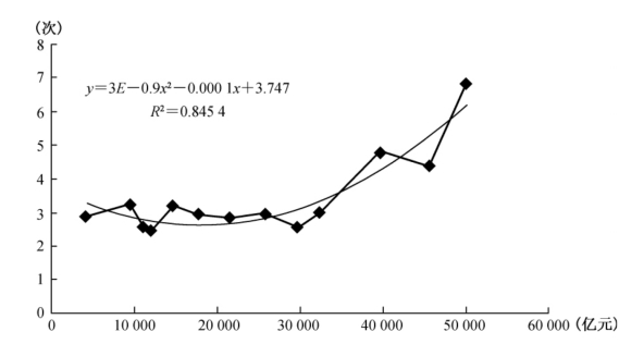
图4-28 海洋GDP与近岸严重污染海域面积拟合关系

图4-29 海洋GDP与河流入海污染物总量拟合关系
状况也在不断恶化(图4-27至图4-29)。虽然没有足够的证据显示海洋污染与赤潮发生频率的直接关系,但从1994—2012年海洋经济发展和赤潮发生次数的拟合关系上可以看出,20世纪90年代末至21世纪初,海洋赤潮的发生频率大大增加,而后虽略有所下降,但总量仍明显高于20世纪末,至2012年,赤潮发生次数再度增加,沿海地区经济的发展与赤潮发生频次呈现高度的相关。
来自河流入海口的污染物总量也在不断攀升,给近海海域带来巨大的压力,至2012年,河流入海口污染物达到1 705万吨,河流入海口处海水水质持续恶化,主要河流入海口皆为劣四类水质[39]。
从发生机理来看,一方面,陆源污染已经成为威胁近海生态环境的主要因素,沿海地区工业废水、生活污水的排放以及上游地区污染河流入海所携带污染物的排放,使近岸海水水质不断下降。2011年5月和8月,我国分别对全国95个入海排污口邻近海域水质进行监测。5月份所监测的76个排污口邻近海域水质不能满足所在海洋功能区水质要求,占监测总数的80%;8月份所监测的71个排污口邻近海域水质不能满足所在海洋功能区水质要求,占监测总数的75%[40]。污染源则多为工业废水、固体废物、生活污水、生活垃圾等,随着沿海地区开发利用强度的加大,环保设施配套力度的不足以及环境政策的疏忽,使来自陆地的威胁愈加强烈。另一方面,对海洋的不合理使用也直接造成了海洋生态环境问题,如过度捕捞、围垦、填海造陆以及化石燃料、化学品泄漏等突发污染事件,而且,产生的污染会随着海流和风浪扩散影响近岸地区和其他海域。
(二)调控措施——海陆生态补偿机制
经济手段的运用,将成为调控海陆经济活动和生态环境关系,实现海陆资源优化配置以及海岸带、近海海域生态环境保护的重要手段。通过分析海陆经济—生态环境系统相互作用机理,理清污染的源头,建立海陆生态补偿机制,为海陆生态环境改善提供来自政策制度上的支持(图4-30)。当前,对生态补偿的研究比较多,多集中在生态补偿机制,包括补偿对象及主体、补偿对象和途径、补偿效应等[41]一些特定领域,尤其是在流域生态补偿等领域,国内外已经有了一系列的理论与实践,但基于海陆统筹的生态补偿机制,还有待进一步研究。在此,通过分析海洋环境发生机理,从陆源污染以及区域之间和利益主体之间设计海洋生态补偿标准的初步模式。

图4-30 海—陆生态破坏及环境污染相互作用机理
1.基于陆源排放的补偿量测算方法
陆源污染的主要生态补偿机制来源,包括河口地区的污染和沿海地区的污染排放。
河流—入海口。由河流入海而带来近海海域环境污染,其主要矛盾来自上游地区水质水量的变化对下游的影响,因此,河口近岸海域污染的补偿价值可以参照流域生态补偿的相关方法,在区际之间进行测算和补偿。一方面,河流入海污染物对近海生态环境造成了破坏,但另一方面,清洁的河水也为入海口地区提供了水源和净化水质。在此,基于生态保护与建设成本的核算方法,参照河流—入海口生态补偿量系数构建测算模型,其式为
Lj[42]
式中,Wj为行政区界j的流域生态补偿量系数
为行政区界j在其境内的河流入海口区界断面点的生态补偿量系数,
为行政区界j在其境内的流域上游区界断面点的生态补偿量系数,
为行政区界j在其境内的河流入海口区界断面点河流水质综合污染指数,
为行政区界j在其境内的流域上游区界断面点的河流水质综合污染指数,Lj为流经水量。
在各行政区域就流域水质水量达成一致的基础上,共同确立生态补偿基本标准C0,乘以流域生态补偿量系数Wj,即为生态补偿数额CT,即[43]:
![]()
沿海—海洋。来自沿海城市的陆源污染,则可用基于生态系统服务价值的核算方法,根据海洋生态系统的供给服务、调节服务、支持服务和文化服务功能的损失来确定:
![]()
生态系统供给服务价值FXp,可用市场价格法来确定,参照张继伟等的研究,其式如下:

其中,fxi为第i类海产品或原材料损失数量,Di为受影响的海产品或原材料密度,Hi为污染影响的第i类海产品或原材料的海水平均深度,Si第i类产品或原材料面积,Ri为第i类海产品或原材料的损失率,Pi为第i类海产品或原材料的单位价格。
![]()
生态系统调节服务价值FXa,可用市场价格法来确定,主要包括气候调节、废弃物处理等方面[44]。其式如下:其中,FXcl为气候调节价值,FXw为废弃物处理价值。气候调节价值由滨海湿地植被、浮游植物、大型藻类等固碳产氧量的损失,进而转化为能值来测算,即![]()
其中,DMi为第i种滨海植物的干物质损失量(g/a),TrCO2、TrO2为CO2和O2的能值转换率(sej/g)。
废弃物处理价值损失FXw=Wp+Wc·S·H
其中,Wp为建立污水处理设施的费用,Wc为污水处理设施运行成本,S为污染海水面积,H为污染海水深度。
生态系统支持服务价值FXs,参考李睿倩等的研究[45],包括营养物质循环损失Emr和生物多样性维持损失Edi,其式如下:FXs=Emr+Edi

式中,BMi为i类植物的平均生物量,Ai为污染区域i类植物的面积,kij为某类植物的植株中氮、磷的含量(%),Trj为某营养物质的能值转换率(sej/g);A为污染面积,BMi为第i类群的平均生物量,FDi为第i类群的生物多样性因子,μ为植物标准热值或动物的标准热值(kJ/g),Tri为第i类群的能值转换率(sej/g);H′i、Ji、Mi、Si分别为第i类群的香农—威纳指数、Pielou均匀度指数、Margalef丰富度指数和物种丰度。
生态系统文化服务价值FXcli,可用旅行费用法(TCM)来确定,其式如下:
![]()
式中,Tp为旅行支出,Cp为消费者支出,Tvt为旅行时间价值。
2.海洋使用造成的污染
由于过度使用海洋如过度捕捞或海上突发环境事故对海洋生态环境会造成破坏,污染随着海流扩散,难以直接评估其价值,可参考恢复价值法(Defensive Expenditures)进行评价。其式如下[46]:

式中,V为恢复前的经济损失,Ci为恢复所需费用。
以上在海陆经济对海洋生态环境影响机理的基础上,通过补偿量测算,旨在建立河流—近海生态补偿机制;通过海洋生态系统服务价值的评估,旨在建立陆地污染排放—近海海域污染的生态补偿机制;通过恢复价值法,旨在建立海洋使用—周边海域的生态补偿机制。在具体补偿实施中,应考虑不同地区的发展要求,考虑不同利益群体的需求和意愿,制定合理可行的调控政策,为促进沿海地区海—陆社会经济与生态环境可持续发展起到积极作用。
(三)海陆统筹治理和保护海洋生态环境——以渤海为例
海陆统筹是指在区域社会经济发展过程中,综合考虑海、陆资源环境特点,系统考察海陆的经济功能、生态功能和社会功能,在海、陆资源环境生态系统的承载力、社会经济系统的活力和潜力基础上,以海陆两方面协调为基础,进行区域发展规划、计划的编制及执行工作[47]。陆上污染问题已成为社会普遍关注的问题,相对而言,人们对海洋污染的关注度远远不够。而实际上,海洋正在成为我们人类社会最大的垃圾桶,不运用海陆统筹的思维,就难以重构人类与海洋的和谐共生关系[48]。渤海现行的海洋与陆域分割的管理模式,使得流域与陆源污染的控制管理与海洋污染的控制管理缺少必要联系,甚至互相冲突。只有坚持海陆统筹,逐步改善海洋生态环境,提高海洋经济的地位和作用,才能更好地发展沿海地区经济。因此,需要明确一个思想,即海陆统筹和渤海海洋环境保护绝不只是环渤海地区和海洋部门的任务,而是包括广大中西部、渤海入海河流流经流域在内的整个区域面临的基本任务。
1.全面实施“从山顶到海洋”的统筹治理战略
渤海污染主要来自入海河流、周边地区和海上作业。其中,入海河流中以黄河的排污量最大。黄河流经的各省市中,青海境内以其支流湟水污染最为严重;陕西境内渭河流域地处工业基地,污水排放量达8亿吨,占黄河流域排污总量的18%;甘肃境内段以兰州各河段最为严重;河南境内黄河水污染主要受蟒河、沁河、天然文岩渠的影响;山东境内黄河因上游来水的水资源量在减少,污染比重在逐年增大。要减少黄河的入海排污量,除了地方人民政府应采取有效措施,积极进行综合防治以外,国家有关主管部门应会同地方人民政府确定和加强重点流域、重点区域的污染治理。青海要重点治理湟水污染,限制工业废水和城镇生活废水的排放量;甘肃应采取的关键措施是抓好兰州的治理工作;宁夏有大片灌区农业区,生态农业的发展、灌溉方式的科学化和化肥利用率的提高对于减少污染具有重大的意义;漳关—小浪底河段污染主要来自山西铝厂、三门峡化纤厂等,加强对这些污染企业的整治是当务之急;山东境内黄河水污染治理除考虑上、中游水体影响外,山东沿黄两岸向黄河排废也不能忽略,尤其是长清、平阴两县的黄河滩区。
近岸海域面临的主要问题是海域使用无序无度,地区之间资源开发雷同,亟须开展并实施海岸利用规划,规范海岸开发秩序。环渤海海岸利用规划突出三方面内容:一是结合规划范围内海洋功能区划和海洋资源开发利用现状,按照海岸主导功能原则进行环渤海地区岸段划分;二是在明确规划期限的基础上,根据环渤海未来资源环境保护目标及社会经济发展需求,明确各岸段资源开发利用和保护目标;三是安排规划期内海洋资源开发利用内容、强度和时序,以及环境整治、保护与修复的举措。
海上污染以油类污染所占比例较大,约为44.75%,来源于运输船舶、渔船(约36%)和事故溢油,化学需氧量(COD)和氮磷污染主要来源于沿岸池塘对虾养殖。治理海上污染,要严格管理和控制各类海洋石油、海上航运和港口企业的各类溢油漏油、超标排放和海洋倾废行为,禁止向海上倾倒放射性废物和有害物质;加强对倾倒区的监督管理和监测,严格执行倾废区的环境影响评价和备案制度;海上养殖活动应合理规划、科学布局,尽可能减少海域养殖业引起的海域环境污染。同时,应建立健全重大海上污染事故应急机制,抓紧渤海海域原油污染事件的善后工作。
2.建立综合性的区域管理机制
我国主要涉海产业部门有20个左右,各个部门和行业分别制定用海计划和工作方案,相互之间势必会形成多种不协调甚至冲突,区域性的污染事故和由此引发的赔偿纠纷多有发生。我国现行的海洋管理模式以行业部门管理为主,这种“行政分治”的模式忽视了渤海的海洋生态整体性以及更大的河海生态整体性,加剧了“渤海公地”的无政府状态,使得渤海难以走出“污染—治理—再污染”的怪圈。合作治理机制才能优化环境发展。要建立内外协调的管理机制,使部门由各自为政的分散管理向海陆统筹管理转变,要构建一个完整的统筹管理体系,一般是国家海洋主管部门区域内各涉海部门及利益相关者相互合作,成立各级综合性的区域管理委员会。渤海海域的入海污染物,来自五大流域,横跨十多个省(市),四周众多的沿海城市和河流不断将污水排入渤海,渤海陆源污染的60%来自沿海13市之外。因此,必须考虑把入渤海的河流所经过的省市区纳入其地方之间、地方政府之间、各涉海行业之间在海洋管理中的矛盾。地方层面上,建立区域性的和地方性的政府海洋管理委员会,以负责协调区域或地方海洋开发利用活动,带动行业管理协调有序发展。同时,要确立并制定共同的海陆统筹管理的运行框架和技术标准、规范。充分注意中央和地方、部门与部门,以及科学与工程的力量综合,完成区域建设所需的人才、信息、物力资源的配置。(https://www.daowen.com)
3.实现海域陆域产业对接,协调海陆生态系统
大规模的海洋开发离不开陆域经济的支持,陆域经济的进一步发展也要依托于海洋经济。海洋经济的发展只有跳出“就海洋论海洋”的狭义范畴,从海陆统筹的角度考虑,才能获得最佳的经济和生态效益。从区域发展的空间看,海陆产业联动发展应以海域和海岸带为载体,以沿海城市为核心,向远海和内陆发展,海陆一体,梯次推进。各地要根据海洋资源禀赋和陆域经济基础科学,合理地确定海陆经济的节点,实现海陆产业间的要素流动。海陆经济的节点主要是港口和海洋产业基地,例如:依靠丰富的地下卤水资源,山东潍坊建立了以海洋化工业为主的滨海开发区,带动了周围滨海项目区、旅游区和港口工业区的建设,沿海岸线分布的海洋经济带正迅速形成。沿海城市是海陆一体化的枢纽,在沿海城市,应该重点发展临海产业,一方面把海洋资源的优势由海域向陆域转移和扩展,另一方面,促使陆域资源的开发利用及内陆的经济力量向沿海地区集中,把陆域经济、技术和设备运用到海洋资源开发中。实施海陆统筹、河海同治的联动机制,关键在于协调海陆生态系统。为保持海陆生态系统之间的平衡,环境治理必须从海陆域复合生态系统的结构与功能出发,将陆源污染防治和海域污染防治相结合,应针对陆源污染,制定相应的总体控制目标指标体系,在控制排污总量的同时,提倡科学的排放方式,合理利用海水自净能力,在有条件的海域尽量采取离岸深海排放方式。要“以海定陆”调整产业结构,海洋开发的重点应由近海趋向大洋,由传统海洋产业扩大到新兴海洋产业;由过去的相对独立的海洋产业向海陆统筹发展的海洋产业转变;由无偿使用、掠夺性开发海洋资源向有偿使用、可持续发展的海洋产业转变。海洋经济建设要由单纯追求经济利益转向强调海洋生态经济开发;海洋管理方式要由行业分散管理转向协作性加强的统筹管理,管理重点由产业开发转向生态建设和环境保护[49]。
【注释】
[1]刘瑜,龚咏喜,张晶,等.地理空间中的空间关系表达和推理[J].地理与地理信息科学,2007,23(5):1-7.
[2]卢宁.山东海陆一体化发展战略研究[D]:[博士学位论文].青岛:中国海洋大学,2009.
[3]于谨凯.我国海洋产业可持续发展研究[M].北京:经济科学出版社,2007.
[4]国家海洋局.中国海洋统计年鉴2010[M].北京:海洋出版社,2011.
[5]王缉宪.中国港口城市的互动发展[M].南京:东南大学出版社,2010.
[6]朱传耿,刘波,李志江.港口—腹地关联性测度及驱动要素研究——以连云港港口—淮海经济区为例[J].地理研究,2009,28(3):716-725.
[7]王劲峰.区域经济分析的模型方法[M].北京:科学出版社,1993.
[8]Peter J R.The changing status of New Zealand seaports,1853—1960[J].Annals of the Association of American Geographers,1967,57(1):88-100.
[9]Peter J R.The search for spatial regularities in the development of Australian seaports 1861—1961/2[J].Geografiska Annaler.Series B,Human Geography,1967,49(1):42-54.
[10]Peter J R.A conceptual framework for examining urban and regional transport needs in south-east Asia[J].Pacific Viewpoint,1977(18):133-147.
[11]广东省人民政府.广东省“十二五”规划纲要[Z],2011.
[12]熊曦.北部湾港口资源整合研究[J].中国海事,2008(1):57-59.
[13]参见http://www.gxnews.com.cn/staticpages/20090329/newgx49ceb648-1972909.shtml相关内容。
[14]钱正英,张光斗.中国可持续发展水资源战略研究综合报告及各专题报告[M].北京:中国水利水电出版社,2001.
[15]刘昌明,何希吾,等.中国21世纪水问题方略[M].北京:科学出版社,1996.
[16]陆大道.中国环渤海地区持续发展战略研究[M].北京:科学出版社,1994.
[17]潘家铮,张泽祯.中国北方地区水资源的合理配置和南水北调问题[M].北京:中国水利水电出版社,2001.
[18]王静爱,苏筠,刘目兴.渤海海冰作为淡水资源的开发利用与区域可持续发展[J].北京师范大学学报(社会科学版),2003(3):85-92.
[19]叶海.开采渤海海冰淡水资源[J].科技咨询导报,2006(2):218-220.
[20]马丽,金凤君,刘毅.中国经济与环境污染耦合度格局及工业结构解析[J].地理学报,2010,67(10):1299-1307.
[21]刘耀彬,李仁东,宋学锋.中国城市化与生态环境耦合度分析[J].自然资源学报,2005,20(1):105-112.
[22]Valerie I.The Penguin Dictionary of Physics[M].Beijing:Foreign Language Press,1996.
[23]刘定惠,杨永春.区域经济—旅游—生态环境耦合协调度研究——以安徽省为例[J].长江流域资源与环境,2011,20(7):892-896.
[24]王明涛.多指标综合评价中权数确定的离差、均方差决策方法[J].中国软科学,1999(8):100-107.
[25]参见《中华人民共和国国民经济和社会发展第十个五年计划纲要》相关内容。
[26]参见《中华人民共和国国民经济和社会发展第十一个五年规划纲要》相关内容。
[27]参见《中华人民共和国国民经济和社会发展第十二个五年规划纲要》相关内容。
[28]参见《全国海洋经济发展“十二五”规划》相关内容。
[29]张伟,刘苏,张文新.安徽省旅游业对经济增长拉动效应的实证研究——基于二维度与三指标的探讨[J].旅游科学,2011,25(6):25-33.
[30]徐建华.现代地理学中的数学方法[M].北京:高等教育出版社,2002.
[31]中华人民共和国工业和信息化部.船舶工业“十二五”发展规划[Z],2012.
[32]参见《全国海洋经济发展“十二五”规划》相关内容。
[33]常玉苗,成长春.江苏海陆产业关联效应及联动发展对策[J].地域研究与开发,2012,31(4):34-46.
[34]董礼华.劳动生产率及其计算方法[J].中国统计,2012(3):30-33.
[35]蔡雪雄.我国城乡二元经济结构的演变历程及趋势分析[J].经济学动态,2009(2):37-40.
[36]李红松.我国经济增长与就业弹性问题研究[J].财经研究,2003,29(4):23-66.
[37]崔旺来,周达军,刘洁,等.浙江省海洋产业就业效应的实证分析[J].经济地理,2011,31(8):1258-1263.
[38]国家海洋局.2011年中国海洋环境状况公报[R],2012.
[39]国家海洋局.2012年中国海洋环境状况公报[R],2013.
[40]国家海洋局.2011年中国海洋环境状况公报[R],2012.
[41]李碧洁,张松林,侯成成.国内外生态补偿研究进展评述[J].世界农业,2013(2):11-15,21.
[42]徐大伟,郑海霞,刘民权.基于跨区域水质水量指标的流域生态补偿量测算方法研究[J].中国人口·资源与环境,2008,18(4):189-194.
[43]徐大伟,郑海霞,刘民权.基于跨区域水质水量指标的流域生态补偿量测算方法研究[J].中国人口·资源与环境,2008,18(4):189-194.
[44]张继伟.海洋环境风险的生态补偿机制[J].北京:中国环境科学出版社,2011.
[45]李睿倩,孟范平.填海造地导致海湾生态系统服务损失的能值评估——以套子湾为例[J].生态学报,2012,32(18):5825-5835.
[46]黄寰.区际生态补偿论[M].北京:中国人民大学出版社,2012.
[47]韩立民,卢宁.关于海陆一体化的理论思考[J].太平洋学报,2007(8):82-87.
[48]张海峰.抓住机遇加快我国海陆产业结构大调整——三论海陆统筹兴海强国[J].太平洋学报,2005(10):25-27.
[49]周艳.渤海环境治理的政策建构[D]:[硕士学位论文].青岛:中国海洋大学,2010.