沿海地区海陆统筹实施对策
总体来看,在“十二五”期间国家“面向海洋”的大背景下,相关的政策、制度也陆续出台。自2009年以来,国务院批复了涉及海洋和沿海区域发展的一系列规划举措(表5-1),标志着新一轮沿海大开发、大开放时代的再次到来,也标志着各沿海地区发展规划已经上升为国家战略层面的区域发展规划。新的沿海区域规划体系,构成了我国海陆区域经济新的版图。
表5-1 我国新一轮推进沿海发展的主要措施

江苏沿海经济区、辽宁沿海“五点一线”经济带、横琴、海西经济区等四个经济区都是对我国沿海经济布局的进一步完善。从珠三角、长三角、北部湾经济区、海西经济区、江苏沿海地区,到包括辽宁沿海区域和滨海新区在内的环渤海区域,加上近期获得批准的“黄三角生态经济区规划”和“山东半岛蓝色经济区规划”,预计到2020年中国全面进入小康社会时,沿海的整体空间经济格局也将形成[3]。
从时间尺度来看,自20世纪90年代以来,沿海各省区海洋经济发展水平的差异逐渐扩大,广东、山东、上海三省市海洋经济总量最高,长期领先于其他沿海省市区;辽宁、江苏、天津、浙江、福建居于其中,相对之间的位次时有变化;而河北、海南和广西则发展较为落后,长期以来一直处在最末的位置。2011年,广东省海洋GDP达到9 807亿元,高居各省市区第一位,而最落后的海南省仅为612亿元,海洋经济规模相差15倍之多(图5-2)。

图5-2 1996—2011年沿海各省市区历年海洋GDP
从人均值来看,2011年海洋人均GDP也呈现较大的区域分异,天津、上海远远高于其他省市区,而河北、广西明显落后,最高的天津达到26 095.94元,而最低的广西仅为1 407.96元。从单位岸线海洋经济密度来看,天津、上海仍然高于其他省市区,天津达到每千米岸线23.11亿元产值,而浙江、福建、广西、海南相对较低,海南每千米岸线仅0.34亿元的产值(图5-3)。因此,针对区域差异,亟须采取不同的发展对策。(https://www.daowen.com)

图5-3 2011年沿海各省市区海洋人均GDP及单位岸线海洋经济密度
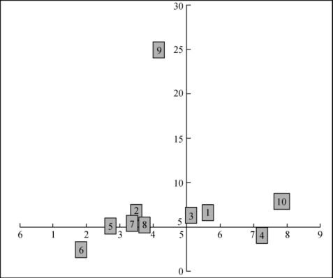
为了进一步探索沿海各个省市海陆区域经济发展的总体特征,在此,对各个省市区沿海城市和内陆城市的经济发展水平进行比较,即用横坐标(L)表示某一沿海省区中所有内陆城市的人均GDP水平,用纵坐标(O)表示某一沿海省区中所有沿海城市的人均GDP水平,除了海南省为海岛地区,不宜做海陆之划分以外,其他10个沿海省级行政单元,构成O-L图(图5-4)。

图5-4 沿海省市区海陆经济发展水平
(数字1—10分别代表浙江、山东、辽宁、江苏、河北、广西、福建、广东、天津、上海)
从图5-4中可以看出,上海市、浙江省、辽宁省位于第一象限内,上述省市沿海城市和内陆地区经济发展水平都相对较高,属于O+L+区域;江苏省位于第二象限内,内陆地区经济发展水平远远高于沿海城市,属于O-L+区域;广西壮族自治区位于第三象限内,沿海城市和内陆地区经济发展水平都相对较低,是唯一的O-L-区域;天津市、山东省、广东省、福建省、河北省位于第四象限内,沿海地区的发展水平较内陆地区要高,属于O+L-区域。