7.2.2 Malmquist生产指数法
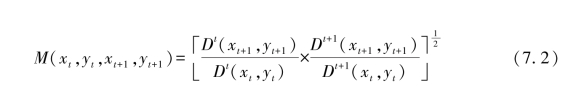
1953年,Malmquist生产指数法在消费分析过程中首次被提出,随后与DEA模型相结合广泛运用于效率测算中。因此,这里使用的Malmquist生产指数是第t期与第t+1期的集合平均数(Caves et al.,1982),具体表达式为:

式中,第t期与第t+1期的投入产出关系分别用(xt,yt)与(xt+1,yt+1)表示;Dt+1(xt,yt)与Dt(xt+1,yt+1)是生产点在混合期与前沿上技术相比较得到的投入距离函数;Dt(xt,yt)是生产点在t时间段与前沿上技术相比较得到的投入距离函数,Dt+1(xt+1,yt+1)是生产点在t+1时间段与前沿上技术相比较得到的投入距离函数。
Fare等(1994)根据Malmquist生产指数法,将全要素生产率分解为技术变动指数和技术效率变动指数,前者指低效率的生产要素组合相对于前沿上的移动,后者指生产前沿上自身的移动。其中,技术效率指数又可以分解为纯技术效率指数与规模效率指数。由(7.2)式可以分解为如下表达式:

