答案速查(试卷Ⅳ)

答案速查(试卷Ⅳ)

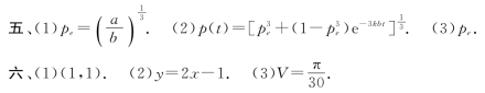
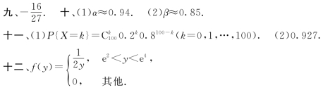
一、填空题

图示

二、判断题(1)×. (2)×. (3)×. (4)√. (5)×.

图示

四、(1)级数收敛,理由略. (2)证明略.(https://www.daowen.com)

图示

七、①k 1≠2时,方程组有唯一解;②k 1=2且k 2≠1时,方程组无解;③k 1=2且k 2=1时,方程组有无穷多组解,取x 3=c(c为任意常数),则方程组的一般解可表示为

图示

八、①若s为奇数,向量组β1,β2,…,βs线性无关;②若s为偶数,向量组β1,β2,…,βs线性相关.

图示