2021年全国硕士研究生招生考试数学三试题
姓名_______分数_______
一、选择题:1~10小题,每小题5分,共50分.下列每题给出的四个选项中,只有一个选项是最符合题目要求的.
1.当x→0时,
是x7的
A.等价无穷小.B.低阶无穷小.
C.高阶无穷小.D.同阶但非等价无穷小.
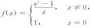
2.函数
在x=0处
A.连续且取得极小值.B.连续且取得极大值.
C.可导且导数等于零.D.可导且导数不为零.
3.设函数f(x)=ax-blnx(a>0)有2个零点,则
的取值范围是

4.设函数f(x,y)可微,且f(x+1,ex)=x(x+1)2,f(x,x2)=2x2lnx,则df(1,1)=
A.dx-dy.B.dx+dy.
C.dy.D.-dy.
5.二次型f(x1,x2,x3)=(x1+x2)2+(x2+x3)2-(x3-x1)2的正惯性指数与负惯性指数依次为
A.1,1.B.2,0.C.2,1.D.1,2.
6.设A=(α1,α2,α3,α4)为4阶正交矩阵.若矩阵
,k表示任意常数,则线性方程组Bx=β的通解x=
A.α1+α3+α4+kα2.B.α2+α3+α4+kα1.C.α1+α2+α4+kα3.D.α1+α2+α3+kα4.
(https://www.daowen.com)

8.设A,B为随机事件,且0<P(B)<1.下列命题中为假命题的是

二、填空题:11~16小题,每小题5分,共30分.

16.甲、乙两个盒子中各装有2个红球和2个白球,先从甲盒中任取一球,观察颜色后放入乙盒中,再从乙盒中任取一球.令X,Y分别表示从甲盒和从乙盒中取到的红球个数,则X与Y的相关系数为_______.
三、解答题:17~22小题,共70分.解答应写出文字说明、证明过程或演算步骤.
17.(本题满分10分)

20.(本题满分12分)
设n为正整数,y=yn(x)是微分方程xy′-(n+1)y=0满足条件
的解.
(1)求yn(x);
(2)求级数
的收敛域及和函数.
21.(本题满分12分)
设矩阵
仅有两个不同的特征值.若A相似于对角矩阵,求a,b的值,并求可逆矩阵P,使P-1AP为对角矩阵.
22.(本题满分12分)
在区间(0,2)上随机取一点,将该区间分成两段,较短一段的长度记为X,较长一段的长度记为Y.令
.
(1)求X的概率密度;
(2)求Z的概率密度;
(3)求
.