2018年全国硕士研究生招生考试数学三试题
姓名_______分数_______
一、选择题:1~8小题,每小题4分,共32分.下列每题给出的四个选项中,只有一个选项是符合题目要求的.
(1)下列函数中,在x=0处不可导的是

(2)设函数f(x)在[0,1]上二阶可导,且
,则

(3)设
![]()
,则
(A)M>N>K.(B)M>K>N.
(C)K>M>N.(D)K>N>M.
(4)设某产品的成本函数C(Q)可导,其中Q为产量.若产量为Q0时平均成本最小,则
(A)C′(Q0)=0.(B)C′(Q0)=C(Q0).
(C)C′(Q0)=Q0C(Q0).(D)Q0C′(Q0)=C(Q0).
(5)下列矩阵中,与矩阵
相似的为

(6)设A,B为n阶矩阵,记r(X)为矩阵X的秩,(X Y)表示分块矩阵,则
(A)r(A AB)=r(A).(B)r(A BA)=r(A).
(C)r(A B)=max{r(A),r(B)}.(D)r(A B)=r(AT BT).
(7)设随机变量X的概率密度f(x)满足f(1+x)=f(1-x),且
,则P{X<0}=
(A)0.2.(B)0.3.(C)0.4.(D)0.5.
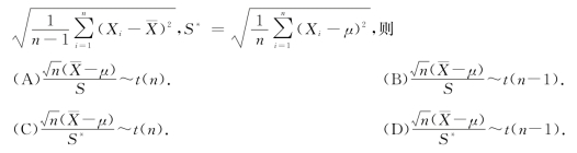
(8)设X1,X2,…,Xn(n≥2)为来自总体N(μ,σ2)(σ>0)的简单随机样本.令
,S=

二、填空题:9~14小题,每小题4分,共24分.
(9)曲线y=x2+2lnx在其拐点处的切线方程是_______.
![]()
(11)差分方程Δ2yx-yx=5的通解为_______.
(12)设函数f(x)满足f(x+Δx)-f(x)=2xf(x)Δx+o(Δx)(Δx→0),且f(0)=2,则f(1)=_______.(https://www.daowen.com)
(13)设A为3阶矩阵,α1,α2,α3是线性无关的向量组.若Aα1=α1+α2,Aα2=α2+α3,Aα3=α1+α3,则|A|=_______.
(14)随机事件A,B,C相互独立,且
,则P(AC|A∪B)=_______.三、解答题:15~23小题,共94分.解答应写出文字说明、证明过程或演算步骤.
(15)(本题满分10分)
已知实数a,b满足
,求a,b.
(16)(本题满分10分)
![]()
(17)(本题满分10分)
将长为2m的铁丝分成三段,依次围成圆、正方形与正三角形.三个图形的面积之和是否存在最小值?若存在,求出最小值.
(18)(本题满分10分)
已知
,求an.
(19)(本题满分10分)
![]()
(20)(本题满分11分)
设实二次型f(x1,x2,x3)=(x1-x2+x3)2+(x2+x3)2+(x1+ax3)2,其中a是参数.
(Ⅰ)求f(x1,x2,x3)=0的解;
(Ⅱ)求f(x1,x2,x3)的规范形.
(21)(本题满分11分)
已知a是常数,且矩阵
可经初等列变换化为矩阵
.
(Ⅰ)求a;
(Ⅱ)求满足AP=B的可逆矩阵P.
(22)(本题满分11分)
设随机变量X与Y相互独立,X的概率分布为
,Y服从参数为λ的泊松分布.令Z=XY.
(Ⅰ)求Cov(X,Z);
(Ⅱ)求Z的概率分布.
(23)(本题满分11分)
设总体X的概率密度为
![]()
其中σ∈(0,+∞)为未知参数,X1,X2,…,Xn为来自总体X的简单随机样本.记σ的最大似然估计量为
.
(Ⅰ)求
;
(Ⅱ)求E
和D
.