(试卷Ⅴ)

(试卷Ⅴ)

一、填空题(本题共5小题,每小题3分,满分15分)

图示

(2)【同试卷Ⅳ 第一、(1)题】

(3)设f(x)=sin x,f[φ(x)]=1-x 2,则φ(x)=_________;其定义域为_______.

(4)矩阵图示的非零特征值是_______.

(5)设对于事件A,B,C,有图示,则A,B,C三个事件中至少出现一个的概率为_______.

二、选择题(本题共5小题,每小题3分,满分15分)

(1)【同试卷Ⅳ 第二、(1)题】

(2)当x→0时,下列四个无穷小量中,比其他三个更高阶的无穷小量是

(A)x 2.(B)1-cos x.(C)图示(D)x-sin x.

(3)设A,B,A+B,A-1+B-1均为n阶可逆矩阵,则(A-1+B-1-1等于

(A)A-1+B-1.(B)A+B.(C)A(A+B)-1B.(D)(A+B)-1.

(4)设α1,α2,…,αm均为n维向量,那么下列结论正确的是

(A)若k 1α1+k 2α2+…+k mαm=0,则α1,α2,…,αm线性相关.

(B)若对任意一组不全为零的数k 1,k 2,…,k m,都有k 1α1+k 2α2+…+k mαm≠0,则α1,α2,…,αm线性无关.

(C)若α1,α2,…,αm线性相关,则对任意一组不全为零的数k 1,k2,…,km,都有k 1α1+k 2α2+…+kmαm=0.

(D)若0α1+0α2+…+0αm=0,则α1,α2,…,αm线性无关.

(5)【同试卷Ⅳ 第二、(4)题】(https://www.daowen.com)

三、(本题满分5分)求极限图示

四、(本题满分5分)【同试卷Ⅳ 第四题】

五、(本题满分6分)求连续函数f(x),使它满足图示

六、(本题满分5分)【同试卷Ⅳ 第五题】

七、(本题满分6分)

设生产某产品的固定成本为10,而当产量为x时的边际成本函数为MC=-40-20x+3x 2,边际收入函数为MR=32+10x.试求:

(1)总利润函数;(2)使总利润最大的产量.

八、(本题满分6分)求证:方程x+p+q cos x=0恰有一个实根,其中p,q为常数,且0<q<1.

九、(本题满分7分)给定曲线图示.

(1)求曲线在横坐标为x 0的点处的切线方程;(2)求曲线的切线被两坐标轴所截线段的最短长度.

十、(本题满分5分)

设矩阵X满足AX+E=A 2+X,其中E为3阶单位阵,又已知图示,试求出矩阵X.

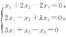
十一、(本题满分5分)

设线性方程组图示的系数矩阵为A,3阶矩阵B≠O,且AB=O.试求λ的值.

十二、(本题满分6分)

已知实矩阵A=(aij3×3满足条件:①aij=A ij(i,j=1,2,3),其中A ij是a ij的代数余子式;②a 11≠0.计算行列式|A|.

十三、(本题满分7分)【同试卷Ⅳ 第十二题】     十四、(本题满分7分)【同试卷Ⅳ 第十三题】