1999年全国硕士研究生入学统一考试数学三试题
姓名_______分数_______
一、填空题:1~5小题,每小题3分,共15分.

(4)在天平上重复称量一重为a的物品,假设各次称量结果相互独立且同服从正态分布N(a,0.22).若以
表示n次称量结果的算术平均值,则为使P{|
-a|<0.1}≥0.95,n的最小值应不小于自然数_________.
(Φ(1.96)=0.975,其中Φ(x)为标准正态分布函数)
(5)设随机变量Xij(i,j=1,2,…,n;n≥2)独立同分布,EXij=2,则行列式

的数学期望EY=___________.
二、选择题:6~10小题,每小题3分,共15分.下列每题给出的四个选项中,只有一个选项是符合题目要求的.
(6)设f(x)是连续函数,F(x)是f(x)的原函数,则
(A)当f(x)是奇函数时,F(x)必为偶函数.
(B)当f(x)是偶函数时,F(x)必为奇函数.
(C)当f(x)是周期函数时,F(x)必为周期函数.
(D)当f(x)是单调增函数时,F(x)必为单调增函数.

(8)设向量β可由向量组α1,α2,…,αm线性表示,但不能由向量组(Ⅰ):α1,α2,…,αm-1线性表示,记向量组(Ⅱ):α1,α2,…,αm-1,β,则
(A)αm不能由(Ⅰ)线性表示,也不能由(Ⅱ)线性表示.
(B)αm不能由(Ⅰ)线性表示,但可由(Ⅱ)线性表示.
(C)αm可由(Ⅰ)线性表示,也可由(Ⅱ)线性表示.
(D)αm可由(Ⅰ)线性表示,但不可由(Ⅱ)线性表示.
(9)设A,B为n阶矩阵,且A与B相似,E为n阶单位矩阵,则
(A)λE-A=λE-B.(B)A与B有相同的特征值和特征向量.
(C)A与B都相似于一个对角矩阵.(D)对任意常数t,tE-A与tE-B相似.

三、解答题:11~20小题,共70分.解答应写出文字说明、证明过程或演算步骤.(https://www.daowen.com)
(11)(本题满分6分)
曲线
的切线与x轴和y轴围成一个图形,记切点的横坐标为a.试求切线方程和这个图形的面积.当切点沿曲线趋于无穷远时,该面积的变化趋势如何?
(12)(本题满分7分)
![]()
(13)(本题满分6分)
设生产某种产品必须投入两种要素,x1和x2分别为两要素的投入量,Q为产出量;若生产函数为
,其中α,β为正常数,且α+β=1.假设两种要素的价格分别为p1和p2,试问:当产出量为12时,两要素各投入多少可以使得投入总费用最小?
(14)(本题满分6分)
设有微分方程y′-2y=φ(x),其中
试求在(-∞,+∞)内的连续函数y=y(x),使之在(-∞,1)和(1,+∞)内都满足所给方程,且满足条件y(0)=0.
(15)(本题满分6分)
![]()
(16)(本题满分7分)
设函数f(x)在区间[0,1]上连续,在(0,1)内可导,且
.试证:
(Ⅰ)存在
,使f(η)=η;
(Ⅱ)对任意实数λ,必存在ξ∈(0,η),使得
![]()
(17)(本题满分9分)
设矩阵
,且|A|=-1.又设A的伴随矩阵A*有特征值λ0,属于λ0的特征向量为α=(-1,-1,1)T,求a,b,c及λ0的值.
(18)(本题满分7分)
设A为m×n实矩阵,E为n阶单位矩阵,已知矩阵B=λE+ATA,试证:当λ>0时,矩阵B为正定矩阵.
(19)(本题满分9分)
假设二维随机变量(X,Y)在矩形
![]()
上服从均匀分布.记

(Ⅰ)求U和V的联合分布;
(Ⅱ)求U和V的相关系数r.
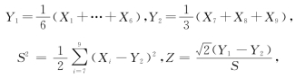
(20)(本题满分7分)设X1,X2,…,X9是来自正态总体X的简单随机样本,

证明统计量Z服从自由度为2的t分布.