1998年全国硕士研究生入学统一考试数学三试题
姓名_______分数_______
一、填空题:1~5小题,每小题3分,共15分.
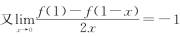
(1)设曲线f(x)=xn在点(1,1)处的切线与x轴的交点为(ξn,0),则lni→m∞f(ξn)=___________.
![]()
(3)差分方程2yt+1+10yt-5t=0的通解为_________.
(4)设矩阵A,B满足A*BA=2BA-8E,其中
为单位矩阵,A*为A的伴随矩阵,则B=___________.
(5)设X1,X2,X3,X4是来自正态总体N(0,22)的简单随机样本,
,其中a,b≠0.
则当a=___________,b=___________时,统计量X服从χ2分布,其自由度为_________.
二、选择题:6~10小题,每小题3分,共15分.下列每题给出的四个选项中,只有一个选项是符合题目要求的.
(6)设周期函数f(x)在(-∞,+∞)内可导,周期为4.
,则曲线y=f(x)在点(5,f(5))处的切线的斜率为

(A)不存在间断点.(B)存在间断点x=1.
(C)存在间断点x=0.(D)存在间断点x=-1.
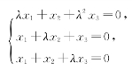
(8)齐次线性方程组

的系数矩阵记为A.若存在3阶矩阵B≠O使得AB=O,则
(A)λ=-2且|B|=0.(B)λ=-2且|B|≠0.
(C)λ=1且|B|=0.(D)λ=1且|B|≠0.
(9)设n(n≥3)阶矩阵

若矩阵A的秩为n-1,则a必为
![]()
(10)设F1(x)与F2(x)分别为随机变量X1与X2的分布函数.为使F(x)=aF1(x)-bF2(x)是某一随机变量的分布函数,在下列给定的各组数值中应取

三、解答题:11~20小题,共70分.解答应写出文字说明、证明过程或演算步骤.
(11)(本题满分5分)(https://www.daowen.com)
![]()
(12)(本题满分5分)
![]()
(13)(本题满分6分)
设某酒厂有一批新酿的好酒,如果现在(假定t=0)就售出,总收入为R0(元).如果窖藏起来待来日按陈酒价格出售,t年末总收入为
,假定银行的年利率为r,并以连续复利计息,试求窖藏多少年售出可使总收入的现值最大.并求r=0.06时的t值.
(14)(本题满分6分)
设函数f(x)在[a,b]上连续,在(a,b)内可导,且f′(x)≠0.试证存在ξ,η∈(a,b),使得
.
(15)(本题满分6分)
设有两条抛物线
,记它们交点的横坐标的绝对值为an.
(Ⅰ)求这两条抛物线所围成的平面图形的面积Sn;
(Ⅱ)求级数
的和.
(16)(本题满分7分)
设函数f(x)在[1,+∞)上连续.若由曲线y=f(x),直线x=1,x=t(t>1)与x轴所围成的平面图形绕x轴旋转一周所成的旋转体体积为
![]()
试求y=f(x)所满足的微分方程,并求该微分方程满足条件
的解.
(17)(本题满分9分)
设向量α=(a1,a2,…,an)T,β=(b1,b2,…,bn)T都是非零向量,且满足条件αTβ=0.记n阶矩阵A=αβT.求:
(Ⅰ)A2;
(Ⅱ)矩阵A的特征值和特征向量.
(18)(本题满分7分)
设矩阵
,矩阵B=(kE+A)2,其中k为实数,E为单位矩阵.求对角矩阵Λ,使B与Λ相似,并求k为何值时,B为正定矩阵.
(19)(本题满分10分)
一商店经销某种商品,每周进货的数量X与顾客对该种商品的需求量Y是相互独立的随机变量,且都服从区间[10,20]上的均匀分布.商店每售出一单位商品可得利润1000元;若需求量超过了进货量,商店可从其他商店调剂供应,这时每单位商品获利润为500元.试计算此商店经销该种商品每周所得利润的期望值.
(20)(本题满分9分)
设有来自三个地区的各10名,15名和25名考生的报名表,其中女生的报名表分别为3份,7份和5份.随机地取一个地区的报名表,从中先后抽出两份.
(Ⅰ)求先抽到的一份是女生表的概率p;
(Ⅱ)已知后抽到的一份是男生表,求先抽到的一份是女生表的概率q.