(试卷Ⅳ)
一、填空题(本题共5小题,每小题3分,满分15分)
(1)设商品的需求函数Q=100-5p,其中Q,p分别表示需求量和价格,如果商品需求弹性的绝对值大于1,则商品价格的取值范围是_______.

(5)将C,C,E,E,I,N,S这七个字母随机地排成一行,则恰好排成SCIENCE的概率为_______.
二、选择题(本题共4小题,每小题3分,满分12分)
![]()
(A)a 2.(B)a 2 f(a).(C)0.(D)不存在.
(2)当x→0时,下列四个无穷小量中,哪一个是比其他三个更高阶的无穷小量?
(A)x 2.(B)1-cos x.(C)
(D)x-tan x.
(3)设A为m×n矩阵,则齐次线性方程组AX=0仅有零解的充分条件是
(A)A的列向量线性无关.(B)A的列向量线性相关.
(C)A的行向量线性无关.(D)A的行向量线性相关.
(4)设当事件A与B同时发生时,事件C必发生,则
(A)P(C)≤P(A)+P(B)-1.(B)P(C)≥P(A)+P(B)-1.
(C)P(C)=P(AB).(D)P(C)=P(A∪B).
三、(本题满分5分)
设函数
问函数f(x)在x=1处是否连续?若不连续,修改函数在x=1处的定义,使之连续.

七、(本题满分6分)求证:当x≥1时
.
八、(本题满分9分)
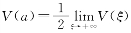
设曲线方程为y=e-x(x≥0).(https://www.daowen.com)
(1)把曲线y=e-x,x轴,y轴和直线x=ξ(ξ>0)所围平面图形绕x轴旋转一周,得一旋转体,求此旋转体体积V(ξ);求满足
的a.
(2)在此曲线上找一点,使过该点的切线与两个坐标轴所夹平面图形的面积最大,并求出该面积.
九、(本题满分7分)
设矩阵A与B相似,其中
.
(1)求x和y的值;(2)求可逆矩阵P,使P-1 AP=B.
十、(本题满分6分)
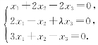
已知3阶矩阵B≠O,且B的每一个列向量都是以下方程组的解:

(1)求λ的值;(2)证明|B|=0.
十一、(本题满分6分)设A,B分别为m阶,n阶正定矩阵,试判定分块矩阵
是否是正定矩阵.
十二、(本题满分8分)
假设测量的随机误差X~N(0,102),试求在100次独立重复测量中,至少有三次测量误差的绝对值大于19.6的概率α,并利用泊松分布求出α的近似值(要求小数点后取两位有效数字).
注:Φ(1.96)=0.975,另附表

十三、(本题满分6分)
一台设备由三大部件构成,在设备运转中各部件需要调整的概率相应为0.10,0.20和0.30.假设各部件的状态相互独立,以X表示同时需要调整的部件数,试求X的概率分布,数学期望EX和方差DX.
十四、(本题满分5分)
设二维随机变量(X,Y)的概率密度为
![]()
(1)求X的概率密度f X(x);(2)求概率P{X+Y≤1}.