(试卷Ⅳ)
一、填空题(本题共5小题,每小题3分,满分15分)

二、选择题(本题共5小题,每小题3分,满分15分)

(A)发散.(B)条件收敛.(C)绝对收敛.(D)敛散性与λ有关.
(3)设A是m×n矩阵,C是n阶可逆矩阵,矩阵A的秩为r,矩阵B=AC的秩为r 1,则
(A)r>r 1.(B)r<r 1.
(C)r=r 1.(D)r与r 1的关系依C而定.
(4)设
,则事件A和B
(A)互不相容.(B)互相对立.(C)不独立.(D)独立.
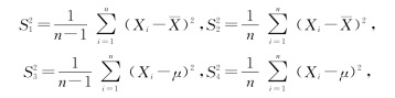
(5)设X 1,X 2,…,X n是来自正态总体N(μ,σ2)的简单随机样本,¯X是样本均值,记

则服从自由度为n-1的t分布的随机变量是

七、(本题满分8分)
已知曲线
与曲线
在点(x 0,y 0)处有公共切线.求(https://www.daowen.com)
(1)常数a及切点(x 0,y 0);(2)两曲线与x轴围成的平面图形绕x轴旋转所得旋转体的体积V x.
八、(本题满分6分)
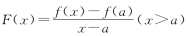
假设f(x)在[a,+∞)上连续,f″(x)在(a,+∞)内存在且大于零,记
).证明:F(x)在(a,+∞)内单调增加.
九、(本题满分11分)

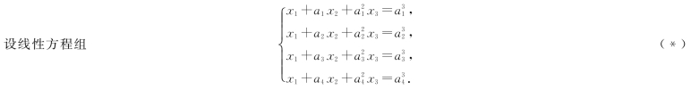
(1)证明:若a 1,a 2,a 3,a 4两两不相等,则此线性方程组无解;
(2)设a 1=a 3=k,a 2=a 4=-k(k≠0),且已知β1,β2是该方程组的两个解,其中β1=(-1,1,1)T,β2=(1,1,-1)T,写出此方程组的通解.
十、(本题满分8分)
设
有三个线性无关的特征向量,求x和y应满足的条件.
十一、(本题满分8分)
假设随机变量X 1,X 2,X 3,X 4相互独立,且同分布,P{X i=0}=0.6,P{X i=1}=0.4(i=1,2,3,4).求行列式X=
的概率分布.
十二、(本题满分8分)
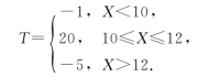
假设由自动线加工的某种零件的内径X(毫米)服从正态分布N(μ,1),内径小于10或大于12为不合格品,其余为合格品.销售每件合格品获利,销售每件不合格品亏损,已知销售利润T(单位:元)与销售零件的内径X有如下关系:

问平均内径μ取何值时,销售一个零件的平均利润最大?