8.3.2 基于熵值法的三大城市群房地产投资环境评价
1.原始数据标准化处理及pij值的计算
由于数据具有不同的量纲,在进行分析之前必须对原始数据进行无量纲化处理,消除其对分析结果的影响,因为本部分所选取的指标都为效益型指标,所以利用公式新数据=(原数据-极小值)/(极大值-极小值)进行标准化,其中新数据用yij表示。然后利用公式
对特征矩阵进行归一化,结果如表8-9所示(为了简便起见,本文只列举出综合排名前15名的城市的pij值)。
表8-9 排名前15名城市的pij值

(续)

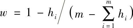
2.计算指标的hi和wi值
第i项评价指标的熵值计算公式为
,其中k=1/lnn,但是若pij=0,则hi=0;第i项指标的熵权的计算公式为
,其中m为被评价对象的数目。计算各指标的hi和wi值,如表8-10所示。
表8-10 各指标的hi和wi值

3.各城市最终得分及排名
利用公式
得到各城市的综合评分,将评价对象按得分大小排序,如表8-11所示。
表8-11 各城市最终得分及排名 (单位:分)
