13.2.2  线性盈亏平衡分析的条件与方法

13.2.2 线性盈亏平衡分析的条件与方法

线性盈亏平衡分析是指收入、成本、利润等均和产量呈线性关系的盈亏平衡分析。它一般需要满足以下五个条件:

(1)在所分析的租售范围内,产品的固定成本与单位租售价格在产品租售期间保持不变。

(2)产品的变动成本是建筑面积(或产销量)的正线性函数。

(3)产品的开发量和销售量相等,即开发的房地产全部租售出去。

(4)产品的总销售收入和生产总成本是房地产开发面积(或产品产量)的线性函数。

(5)计算所使用的各种数据是正常生产年度的数据。

线性盈亏平衡分析一般有解析法和图解法两种方法。

1.线性盈亏平衡分析的解析法

解析法是指通过数学解析方法计算出盈亏平衡点的一种方法。

设某开发项目的总成本为TC,其中固定成本为CF,变动成本为CV,单位变动成本为V,开发数量为Q,总收入(销售收入)为TR,销售税率为r,销售单价为P,利润为E,则根据盈亏平衡的概念,当项目达到盈亏平衡状态时,其收入与支出恰好相等。即TR=TC。根据前面所做的假设,可得:

TR=PQ(1-r

TC=CF+CV=CF+VQ

E=TR-TC=PQ(1-r)-(CF+VQ

TR=TC时,E=0,即利润等于零,项目投资不盈不亏。

上述线性盈亏平衡分析模型E=TR-TC=PQ(1-r)-(CF+VQ)中,含有6个相互联系的变量,只要给定其中的5个,便可以求出另外一个变量的值。例如:

(1)求预期利润时:

E=PQ(1-r)-(CF+VQ

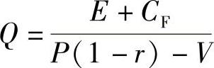
(2)求销售量时:

978-7-111-47999-4-Part03-71.jpg

E=0,即开发项目达到盈亏平衡时,项目的销售量(生产单一房地产产品时)Q为:

978-7-111-47999-4-Part03-72.jpg

当开发项目的产(销)量达到Q时,投资项目的总收入与总支出相等。也就是说,Q是房地产开发项目在预定的售价下,为了实现盈亏平衡所必须达到的最低销售量。

Q与预计产品销售量之间的差距越大(小),说明该房地产开发项目承受市场风险的能力越强(弱)。

分析盈亏平衡销售量还需计算销售量允许降低的最大幅度(ηQ)。其计算公式为:

978-7-111-47999-4-Part03-73.jpg

通过市场调查与预测,可以判断最大幅度(ηQ)出现的可能性。可能性越大,说明项目的风险越大,反之则风险越小。

(3)求销售单价时:

978-7-111-47999-4-Part03-74.jpg

盈亏平衡(E=0)时,销售单价P为:

978-7-111-47999-4-Part03-75.jpg

P表示开发项目产品售价下降到预定可接受的最低盈利水平(一般为不亏不盈)时的最低售价。

P与预计售价之间的差距越大(小),说明该房地产开发项目承受风险的能力越强(弱)。

分析盈亏平衡销售单价还需计算销售单价允许降低的最大幅度(ηP)。其计算公式为:

978-7-111-47999-4-Part03-76.jpg

通过市场调查与预测,可以判断最大幅度(ηP)出现的可能性。可能性越大,说明项目的风险越大,反之则风险越小。

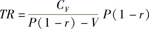
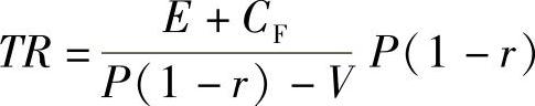
(4)求销售收入时:

978-7-111-47999-4-Part03-77.jpg

盈亏平衡(E=0)时,最低销售收入TR为:

978-7-111-47999-4-Part03-78.jpg

TR为开发项目不发生亏损的最低销售收入。TR与预计销售收入差距越大(小),说明该房地产开发项目的抗风险能力越强(弱)。

分析盈亏平衡销售收入还需计算销售收入允许降低的最大幅度(ηTR)。其计算公式为:

978-7-111-47999-4-Part03-79.jpg

通过市场调查与预测,可以判断最大幅度(ηTR)出现的可能性。可能性越大,说明项目的风险越大;反之,则风险越小。

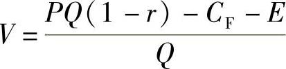
(5)求单位变动成本时:

978-7-111-47999-4-Part03-80.jpg

(6)求固定成本时:

978-7-111-47999-4-Part03-81.jpg

以上主要针对销售为主的开发项目在盈亏平衡状态时的销售量、销售单价与销售收入。当房地产产品以出租为主时,可相应进行盈亏平衡租金、盈亏平衡出租面积及盈亏平衡出租率等的计算分析。

[例13-1]已知某房地产开发项目固定成本为1000万元,单位变动成本为1000元/m2,销售税率为6%,其他数据及要求工作如表13-1所示。

13-1 数据及要求工作

978-7-111-47999-4-Part03-82.jpg

解:

已知:CF=1000万元,V=1000元/m2

假设一:已知:P=2500元/m2E=500万元

将已知条件代入计算式,便得:

Q=1000元×104/[2500×(1-6%)-1000]元/m2=7407m2

QX=(500×104+1000×104)元/[2500×(1-6%)-1000]元/m2=11111m2

计算表明,该项目最少要开发7407m2的商品房,才能保证不会亏损。若希望盈利500万元,则应至少开发11111m2的商品房。

假设二:已知:Q=50000m2E=1000万元

将已知条件代入计算式,便得:

P=(1000×104+1000×5×104)元/[5m2×104×(1-6%)]=1277元/m2

PX=(1000×104+1000×104+1000×5×104)元/[5m2×104×(1-6%)]

=1489元/m2

计算表明,该项目定价最少为1277元/m2,才能保证不会亏损。若希望盈利1000万元,则应把房价至少确定为1489元/m2

假设三:已知:Q=50000m2P=2000元/m2

将已知条件代入计算式,便得:

E=2000元/m2×50000m2×(1-6%)-1000元/m2×50000m2-1000元×104

=3400万元

计算表明,当以市场平均销售价格销售时,本项目可以获得3400万元的利润,比预期利润(拟获利)多2400万元,说明本项目开发的可行性较高。

2.线性盈亏平衡分析的图解法

盈亏平衡分析既可以用前述的解析法分析,也可以利用图解法分析。图解法分析如图13-1所示。

978-7-111-47999-4-Part03-83.jpg

图13-1 线性盈亏平衡分析图

图13-1中,以纵轴表示总成本TC或总收入TR,横轴表示开发(租售)数量Q,图中的四条直线分别表示固定成本线CF、变动成本线CV、总成本线TC和租售收入线TR。总成本线和租售收入线的交点即为盈亏平衡点,A点所对应的开发(租售)数量Q,即为盈亏平衡时的开发数量(或租售量),或称保本量,其数额大小可在坐标轴上查得。AQ线将图示区域分隔为两个部分,左侧总成本线高于租售收入线,为亏损区,右侧总成本线低于租售收入线,为盈利区。或者说,当QQ时,项目盈利;当0≤QQ,项目亏损;当Q=Q时,项目不盈不亏。

由此可见,盈亏平衡点越低,达到该点的开发量(或租售量)、销售收入及成本也就越少,只要开发少量的房地产产品就能达到项目的收支平衡。所以,盈亏平衡点的值越小,项目的盈利机会就越大,亏损的风险就越小。

绘制盈亏平衡分析图,可根据解析法的有关计算公式和具体数据,按下列步骤进行:

(1)选定直角坐标系,以成本或收入为纵轴,以开发量或租售量为横轴。

(2)在纵轴上找出固定成本数值,以此为起点,绘制一条与横轴平行的固定成本线。

(3)以固定成本线的起始点为起点,以单位变动成本为斜率,绘制总成本线。

(4)以坐标原点为起点,以单价为斜率,绘制销售收入线。

这样就得到一个具体的盈亏平衡分析图,相关数据可以直接从该图中得到。

盈亏平衡分析图表达的意义如下:

(1)固定成本线与横轴之间的垂直距离为固定成本值,它不因开发量(或租售量)的增减而变动。

(2)总成本线与固定成本线之间的垂直距离为变动成本,它随开发量(或租售量)的增减而呈正比例的变动。

(3)总成本线与横轴之间的垂直距离为总成本,它是固定成本与变动成本之和。

线性盈亏平衡分析方法简单明了,有助于我们尽快地全面把握决策的目的,但这种方法在应用中有一定的局限性,主要表现在对投资项目来讲,在实际的生产经营过程中,收益和支出与产品产量之间的关系往往呈现出一种非线性的关系,而非我们所假设的线性关系。这时就需要用到非线性盈亏平衡分析方法。