14.3.3  城市房地产投资组合分析的应用

14.3.3 城市房地产投资组合分析的应用

前面已经讲到,城市房地产投资组合有四种主要类型。这里仅介绍不同类型项目组合的具体分析应用。

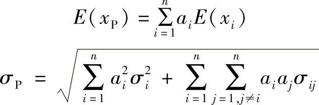
一般来说,包含几项项目开发投资的投资利润率期望值与标准差的计算公式为:

978-7-111-47999-4-Part03-119.jpg

式中,ExP)为组合投资利润率期望值;Exi)为第i项项目投资利润率期望值;ai为第i项项目投资占总项目投资额的比重;aj为第j项项目投资占总项目投资额的比重;n为组合投资项目数;σP为组合投资的标准差;σi为第i项投资项目的投资利润率标准差;σij为项目i和项目j投资利润率的协方差。

[例14-4] 某房地产开发公司有一笔5亿元的资金准备投资开发某项目,经咨询得到了甲、乙、丙三种投资方案。甲方案为投资开发住宅项目,乙方案为投资开发写字楼,丙方案为2/5的资金用来投资开发住宅,其余用来开发写字楼。每种方案的投资额、收益及概率情况如表14-7所示。试比较各方案的投资收益水平及风险程度。

14-7 投资方案及其收益情况 (单位:万元)

978-7-111-47999-4-Part03-120.jpg

解:

根据表14-7所示数据,计算甲、乙方案的投资利润率、投资利润率平均值、期望值及其标准差如表14-8所示。

14-8乙方案及相关分析数据

978-7-111-47999-4-Part03-121.jpg

由于丙方案是组合投资,其概率及收益情况比较特殊,编制表14-9。

14-9 投资方案丙及相关分析数据

978-7-111-47999-4-Part03-122.jpg

注:表中“住”表示开发住宅,“写”表示开发写字楼。

由表14-8和表15-9可知,组合投资(方案丙)的风险度量值(σx)=2.37%)确实比方案乙的风险度量值(σx)=2.53%)要低,但其投资利润率的期望值(Ex)=7.14%)也比方案乙的投资利润率的期望值(Ex)=8.66%)低。说明组合投资确实能降低风险,但也降低了投资回报。