14.1.3  城市房地产投资项目风险的度量方法

14.1.3 城市房地产投资项目风险的度量方法

投资风险的度量包括风险程度和风险概率两个方面。城市房地产投资风险的度量也可从这两方面加以度量。

1.投资风险程度的度量

投资风险程度用来描述风险造成损失的大小,又称为投资强度。在最大风险的情况下,投资者可能损失全部投资。投资风险程度是指在某一投资市场上,风险的存在使投资者可能遭受的最大损失在直接投资总额中的比重。其计算公式为:

978-7-111-47999-4-Part03-106.jpg

式中,投资支出是指项目投资总额;投资收入是指扣除因风险可能遭受的最大损失后的净收益。

投资风险程度的三种取值,分别相当于盈亏平衡分析的盈(投资风险程度<100%)、亏(投资风险程度>100%)及平衡(投资风险程度=0)。

2.投资风险概率的度量

投资风险概率用来描述投资风险发生可能性的高低,一般用随机事件的概率分布评价指标,即标准方差来描述。

投资风险程度只能用来描述投资风险给投资者带来损失的大小,而投资风险的发生是一种随机事件,人们无法确切地获知风险发生的时间、地点,因此只能依据统计结果的分布状态来衡量其发生可能性的大小。

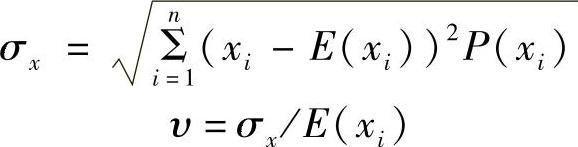
当描述风险参数的统计量呈正态分布时,可用标准差σx及其变异系数(υ)来衡量其分布的离散程度,进而描述其发生风险可能性的大小。有关计算公式如下:

978-7-111-47999-4-Part03-107.jpg

式中,xi为第i个随机事件;Pxi)为随机事件xi可能出现的概率;Exi)为随机事件xi的期望值。

期望值描述的是统计序列的集中(平均值)状态,标准差则反映了统计序列偏离期望值的状态,即所谓的离散趋势。σx的值越大(小),说明未来的投资收益值偏离期望值的可能性越大(小),投资风险也就越大(小)。