11.1.1  出售型房地产开发投资成本费用估算

11.1.1 出售型房地产开发投资成本费用估算

1.土地取得费用估算

土地取得费用是指取得房地产开发用地的必要支出。目前,取得房地产开发用地的途径只能是通过市场购买取得,土地取得费用包括土地使用权购买价格及买方应缴纳的税费。

(1)土地使用权购买价格的估算。对于购买政府招标、拍卖、挂牌出让的已完成征收和拆迁安置的土地使用权的情况,其土地使用权价格可以参照政府招标、拍卖、挂牌底价,并采用房地产估价中的市场比较法、基准地价修正法或成本法估算。对于购买房地产开发商转让的已完成征收和拆迁安置的土地使用权的情况,可以直接采用房地产估价中的市场比较法、基准地价修正法及成本法来求取土地使用权购买价格。

(2)买方应缴纳的税费的估算。买方应缴纳的税费包括契税、印花税、交易手续费等,通常是根据税法及中央和地方政府的有关规定,按照土地使用权价格的一定比例来测算。例如,买方缴纳的契税通常按土地使用权价格的4%计算,买方缴纳的印花税通常按土地使用权价格的0.05%计算等。需要指出的是,这里买方应缴纳的税费需要计入房地产开发投资成本。

2.开发费用估算

开发费用是指在取得房地产开发用地上进行基础设施建设、房屋建设所必要的直接费用、税金等。房地产开发费用的估算,具体包括以下方面:

(1)前期工程费的估算。这部分费用包括市场调查、可行性研究、工程勘察、环境影响评价、规划和建筑设计、建设工程招投标、施工的通水、通电、通路、场地平整及临时用房等房地产开发项目前期工作所必需的支出。要注意场地平整等费用与土地取得费用的衔接,如果土地取得费用中包含了房屋拆除费,或者取得的房地产开发用地是“七通一平”等场地平整的熟地,则这里就没有或者只有部分场地平整等费用。

前期工程费中,项目的规划、设计、可行性研究等费用一般可按项目总投资的一个百分比估算。一般情况下,规划设计费为建筑安装工程费的3%左右,可行性研究费用占项目总投资的1%~3%,水文、地质、勘探所需费用可根据所需工作量结合收费标准估算,一般为设计概算的0.5%左右。“三通一平”等土地开发费用的估算可根据实际工作量,参照计费标准估算。

(2)基础设施建设费的估算。基础设施建设费是指建筑物2m以外和项目用地规划红线以内的各种管线和道路工程的费用,主要包括供水、供电、供气、排污、道路、路灯、绿化、排洪、电信、环卫等工程建设费用,以及各项设施与市政设施干线、干管、干道的接口费用。基础设施建设费通常采用单位指标估算法及实际工程量来计算。一般来说,详细估算时,可按单位指标估算法来计算,如供水工程可按水增容量(t)指标计算等。粗略估算时,则各项基础设施工程均可按建筑平方米或用地平方米造价计算。

(3)建筑安装工程费的估算。它是指建造房屋建筑物所发生的建筑工程费用、设备采购费用和安装工程费用等。具体包括建筑工程费(结构、建筑、特殊装修工程费)、设备采购及安装工程费(给水排水、电气照明及设备安装、空调通风、弱电设备及安装、电梯及安装、其他设备及安装等)和室内装饰家具费等。在可行性研究阶段,建筑安装工程费的估算,可以采用单元估算法、单位指标估算法、工程量近似匡算法、概算指标估算法等,也可根据类似工程经验估算。当房地产项目有多个单项工程时,应对各个单项工程分别估算。

(4)公共配套设施建设费的估算。公共配套设施建设费是指居住小区内为居民服务配套建设的各种非营利性的公共配套设施(又称公建设施)的建设费用,主要包括居委会、派出所、托儿所、幼儿园、锅炉房、变电室、公共厕所、停车场等。这些公共配套设施是不能有偿转让的,一般按规划指标和实际工程量估算。

(5)其他工程费的估算。其他工程费主要包括工程监理费、竣工验收费等费用。其他工程费可以按照有关部门规定的费率估算,一般占投资额的2%~3%。

(6)开发期间税费的估算。开发期间的税费主要包括有关税收和地方政府或其他有关部门收取的费用,如绿化建设费、人防工程费等。各项税费应根据当地有关法规标准估算。目前,有的税费项目已经取消,如固定资产投资方向调节税、电话初装费等已经不再征收。在具体估算时,要根据实际情况来考察和估算收费项目。

3.管理费用估算

管理费用是指房地产开发商为管理和组织房地产项目的开发经营活动所必需的费用,包括公司经费、工会经费、职工教育培训经费、劳动保险费、待业保险费、董事会费、咨询费、审计费、诉讼费、排污费、房产税、土地使用税、开办费、业务招待费、技术转让费、技术开发费、无形资产摊销、坏账损失、报废损失及其他管理费用。管理费用可按项目土地取得成本和开发成本之和的一个百分比来估算,这个百分比一般为3%左右。如果房地产开发企业同时开发若干房地产项目,则管理费用应在各个项目之间合理分摊。

4.销售费用估算

销售费用是指预售未来开发完成的房地产产品或者销售已经开发完成的房地产产品所必需的费用,包括广告费、销售资料制作费、样板房或样板间建设费、售楼处建设费、销售许可证申领费、销售人员费用或者销售代理费等。

为便于投资利息的测算,销售费用应区分为销售前发生的费用和销售时发生的费用。广告费、销售资料制作费、样板房或样板间建设费、售楼处建设费一般是在销售前发生的,销售代理费一般是与销售同时发生的。

销售费用的估算主要分为以下三部分:

(1)广告宣传及市场推广费用,为销售收入的2%~3%。

(2)销售代理费,为销售收入的1.5%~2%。

(3)其他销售费用,为销售收入的0.5%~1%。

实际估算中,销售费用按销售收入的4%~6%估算。

5.不可预见费用估算

不可预见费用也称预备费用,它是在投资估算时用以处理实际与计划不相符合而追加的费用,包括基本预备费和涨价预备费。其中,基本预备费主要用于初步设计、技术设计、施工图设计和施工过程中,在批准的建设投资范围内所追加的建设费用,以及应对不可抗拒的自然灾害(如冰雹、台风、水灾等)等所支付的费用等;涨价预备费主要用于因项目投入物价格上涨而需要追加的费用。

不可预见费用根据项目的复杂程度和前述各项费用估算的准确程度,以上述各项费用之和为基数,按3%~7%估算。

6.建设期投资利息估算

建设期投资利息的估算,实质上就是资金成本的估算。所谓资金成本,是指企业为筹集资金和使用资金而付出的代价。在房地产开发经营投资过程中,有一些资金是企业自己的资金,但考虑到资金成本,在具体计算时,可把自有资金看成是借贷资金来计算利息。

在估算建设期借款利息之前,应先根据房地产投资项目的类型、特征及要求,选择适当的借款种类和条件,再根据相应的借款种类来估算建设期借款利息。

(1)借款还本付息方式及还款顺序

1)国外借款的还本付息方式。一般来说,国外借款的利息应按照协议书或贷款意向书确定的利率进行计算。债权人会明确要求债务人在规定期限内偿还本金和利息。债务人在还款时可以采用等额还本付息或等额还本、利息照付两种方式。

2)国内借款的还本付息方式。一般来说,国内借款的利息应按照现行银行贷款利率计算。虽然在贷款合同中贷款双方会明确规定还本付息的期限,但是在实际操作中,还款期限主要还是按照实际偿还能力进行计算的。通常的做法是在先偿付当年所需的外汇借款本金(如有外汇借款的话)后,用剩余的资金来源按先贷款先还、后贷款后还、利息高的先还、利息低的后还的顺序,或按照双方的贷款协议归还国内借款。

(2)借款还本付息表的一般结构。借款还本付息表如表11-1所示。该表反映的是建设投资资金的借款本息。流动资金的利息是列入财务费用的,由于其本金是在项目计算期末回收流动资金一次偿还,所以在此借款还本付息表中没有涉及流动资金借款偿还问题。

11-1 借款还本付息表

978-7-111-47999-4-Part03-3.jpg

注:计算过程中采用的借款利率为期间(年、半年、季度、月)利率。

(3)国内借款利息的估算

1)借款时的利息估算。在对房地产投资项目建设期借款利息进行估算时,应根据借款利率、借款期限、借款总额等借款条件的不同分别估算。为简化计算,假定借款当年在年中支用,按半年计息,其后各年按全年计息,则每年借款利息的计算公式为:

每年借款利息=(年初借款本息累计+本年借款/2)×利率

需要注意的是,还款当年应按年末偿还,按全年计息。则每年借款利息的近似计算公式为:

每年借款利息=年初借款累计×年利率

2)还款时的利息估算。还款利息的计算因还款方式的不同而不同,具体包括:

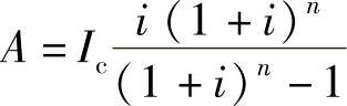
①等额还本付息。等额还本付息中,各年偿还的本利和相等,但各年内支付的本金数不等、利息数也不等,偿还的本金部分将逐年增多,支付的利息部分将逐年减少。每年等额还本付息的计算公式为:

978-7-111-47999-4-Part03-4.jpg

式中,A为每年的还本付息额;Ic为借款本金或本息与初始经营资金借款本金之和;i为年利率(实际利率);n为贷款方要求的借款偿还时间。

其中,每年借款利息的计算公式为:

每年借款利息=年初借款余额累计×年利率

年初借款余额累计=Ic-本年以前各年偿还本金累计

每年偿还本金的计算公式为:

每年偿还本金=A-每年借款利息

②等额还本、利息照付。等额还本、利息照付是指偿还期内每年偿还的本金额是相等的,利息将随本金逐年偿还而减少,但各年之间的本金及利息之和不等。

各年还本付息额的计算公式为:

978-7-111-47999-4-Part03-5.jpg

式中,At为第t年还本付息额。

其中,每年借款利息的计算公式为:

每年借款利息=年初借款累计×年利率

每年偿还本金的计算公式(含建设期未付利息)为:

每年偿还本金=Ic/n(等额)

(4)国外借款利息的估算。国外借款利息在计算时与国内计算方法大体相同。不过,国外借款除支付银行利息外,还要另计管理费和承诺费等财务费用。为了简化计算,可采用适当提高利率的方法进行处理。

[例11-1] 某房地产开发项目建设期为2年,因资金不足而以7%的年利率向银行借款,第1年借款3000万元,第2年借款5000万元,贷款银行要求开发商按年等额还本付息,从项目建设完毕起,5年内还清。假设项目建成后开始租售,预计每年的租售纯收入足以还本付息。试编制借款还本付息估算表。

解:

(1)开发商在建设期内每年应偿还利息为:

第1年:(0+3000÷2)万元×7%=105万元

第2年:(3000+105+5000÷2)万元×7%=392.35万元

第2年年末借款累计:借款总和+利息总和=3000万元+5000万元+105万元+392.35万元=8497.35万元

(2)开发商每年还本付息额为:

978-7-111-47999-4-Part03-6.jpg

(3)偿还期各年偿还利息、本金及借款余额(以第3年为例):

第3年应偿还利息:8497.35万元×7%=594.81万元

第3年应偿还本金:A-594.81万元=2072.43万元-594.81万元=1477.62万元

第3年年末借款余额:8497.35万元-1477.62万元=7019.73万元

以此类推,可以得到该开发项目的借款还本付息估算表如表11-2所示。

11-2 某房地产开发项目借款还本付息估算表 (单位:万元)

978-7-111-47999-4-Part03-7.jpg

在对以上各项投资成本费用估算完毕后,就可以通过表11-3来对开发建设投资进行汇总计算。

11-3 开发建设投资估算表

978-7-111-47999-4-Part03-8.jpg

(续)

978-7-111-47999-4-Part03-9.jpg

注:项目建成开始运营时,固定资产将形成固定资产、无形资产与递延资产。

在估算房地产开发投资利息的过程中,通常还会涉及资金筹措方案和筹资计划。这就需要了解投资计划与资金筹措表的编制与分析。投资计划与资金筹措表如表11-4所示。

11-4 投资计划与资金筹措表

978-7-111-47999-4-Part03-10.jpg

投资计划应根据项目投资估算与项目进度计划来制订,并把项目实施进度计划中各项具体开发建设的内容、特点和实施进度要求等与资金供给的可能性结合起来。

投资计划与资金筹措表编制好后,需要从两个方面对其审查评价:①要看项目实施进度计划是否能与筹资计划相吻合,投资计划能否与项目实施进度相衔接;②要看各项不同渠道来源的资金使用是否合理,特别是预售收入的再投入部分是否与销售收入计划相配合与协调,不能出现没有资金支持的投资计划,也不能有筹集资金过多而不使用的现象。

7.经营资金的估算

经营资金是流动资金的一种,属于项目的周转资金。房地产开发是一个长期、持续的过程,需要不断有经营资金注入以进行周转,所以经营资金是房地产投资的重要组成部分。

对不同类型的房地产开发投资项目,其经营资金的估算也要选取不同的方法。具体要根据项目的特点、规模及建设需要来加以估算。但在实际投资估算中,通常不考虑经营资金。

项目总投资估算表如表11-5所示。

11-5 项目总投资估算表 (单位:万元)

978-7-111-47999-4-Part03-11.jpg

注:项目建成开始运营时,固定资产将形成固定资产、无形资产及递延资产。