15.1.3  城市房地产投资方案比选的方法与指标

15.1.3 城市房地产投资方案比选的方法与指标

1.对“价值”进行比较的方法与指标

(1)净现值(NPV)。用净现值进行方案比选的方法称净现值法,有时也称现值法。净现值指标越大,说明项目获利越多。不同方案比选中,如果不考虑其他评价指标,则以净现值大的方案为优选方案。

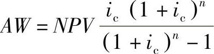
(2)等额年值(AW)。将项目的净现值换算为项目计算期内各年的等额年金就是等额年值,它是反映项目盈利能力的动态指标。用等额年值来进行多方案比选的方法就是等额年值法。其计算公式为:

978-7-111-47999-4-Part03-124.jpg

式中,NPV为项目的净现值;ic为项目的基准收益率;n为项目的经济寿命(计算期)。

方案比选时,等额年值大的方案应为优选方案。

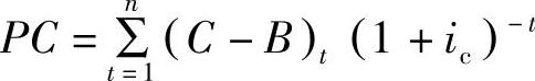
(3)费用现值(PC)。把计算期内的各年投入(费用)按基准收益率折现成现值就是费用现值。用费用现值进行方案比选的方法就是费用现值法。其表达式为:

978-7-111-47999-4-Part03-125.jpg

式中,C为第t期投入总额;B为期末余值回收;n为项目的开发经营期。

在进行方案比选时,以费用现值小的方案为优选方案。

该指标适用于以出租经营为主的城市房地产投资项目的方案比选,而且各方案效益相同,计算期相同。

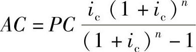
(4)等额年费用(AC)。将项目计算期内所有费用现值,按事先选定的基准收益率,折现为每年等额的费用,称为等额年费用,以此进行方案比选的方法,叫做等额年费用法。其表达式为:

978-7-111-47999-4-Part03-126.jpg

在进行方案比选时,以等额年费用小的方案为优选方案。

2.对“比率”进行比较的方法与指标

(1)差额投资利润率(ΔR)。差额投资利润率是单位追加投资所带来的成本降低额,有时也称追加投资利润率。其计算公式为:

978-7-111-47999-4-Part03-127.jpg

式中,ΔR为差额投资利润率;C1C2为两个比较方案的年成本;I1I2为两个比较方案的总投资。

(2)净现值率(NPVR)。净现值率又称现值指数或投资现值率,是投资方案的净现值和项目初始投资额的比率,它表明了单位投资的盈利能力和资金的使用效率。其计算公式为:

NPVR=NPV/IP

式中,NPVR为净现值率;NPV为净现值;IP为投资现值。

(3)内部收益率(IRR)。内部收益率越高的方案,风险越小,同时也表明项目的盈利能力越强。在进行方案比选时,以内部收益率大的方案为优选方案。

(4)差额内部收益率(ΔIRR)。它是两个方案各期净现金流量差额的现值之和等于零时的折现率。差额内部收益率法又称投资增量内部收益率法,简称增量法。差额内部收益率的表达式为:

978-7-111-47999-4-Part03-128.jpg

式中,(CI-COt为投资大的方案第t期净现金流量;(CI-COt为投资小的方案第t期净现金流量;n为开发经营期。

在进行方案比选时,可将求得的差额内部收益率与投资者的最低可接受收益率(MARR或基准收益率)进行比较,当ΔIRRMARRic时,以投资大的方案为优选方案;反之,则以投资小的方案为优选方案。当多个方案比选时,首先按投资由小到大排序,再依次就相邻方案两两比选,从中确定优选方案。

3.对“期限”进行比较的方法与指标

(1)动态投资回收期(Pt)。它表明了投入资本回收速度的快慢。回收期越短,投资风险越小,投资项目的清偿能力越强。同等情况下要选择动态投资回收期短的方案。

(2)差额投资回收期(ΔP)。它是指通过成本降低收回追加投资所需的时间,或者说是指用投资增加额所带来的累计净收益增量或年成本增量累计节约额来计算回收投资增额所需要的时间,因此有时又称追加投资回收期。其计算公式一般为:

978-7-111-47999-4-Part03-129.jpg

式中,ΔP为差额投资回收期;I1I2为两个比较方案的总投资;M1M2为两个比选方案的年净收益。

当两个方案的销售收入相同时,可用成本降低额来计算:

978-7-111-47999-4-Part03-130.jpg

式中,C1C2为两个比选方案的年经营成本。

差额投资回收期指标适用于对同一项目的多个备选方案进行评价和优选。当差额投资回收期小于预期标准投资回收期时,投资额较大的方案一般为优选方案。