3.2.4 势方程的李对称、非线性自治性和守恒律
2026年01月14日
3.2.4 势方程的李对称、非线性自治性和守恒律
3.2.4.1 李对称分析
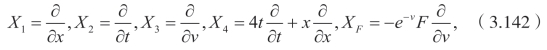
势方程(3.85)具有下面的点对称

这里 F=F(x,t),并且 F 是Ft−Fxxxx=0的一个解。
3.2.4.2 非线性自治性
定义 3.2.1 [72,100](3.85)就说是非线性自治的,如果对于一些任意的函数 ϕ(x,t,v)≠0,满足
![]()
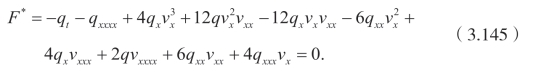
这里 λ 为待定系数并且F* 是伴随方程。
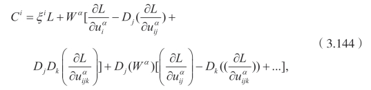
定理 3.2.1 [72,100]每一个李点对称,Lie-Bäcklund 对称和非局部对称,守恒量由下述公式给定

这里Wα=ηα−ξj uαj。
对于势方程(3.85])的伴随方程,有
(https://www.daowen.com)
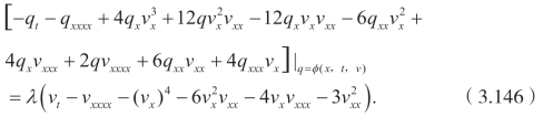
容易验证势方程不是自治的,因为将v代替q以后,得不到原方程。现在为了寻找显式形式的 ϕ(x,t,v)≠0

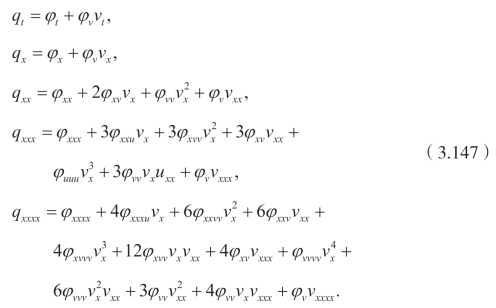
令 q=ϕ(t,x,v),得到

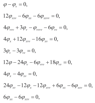
将(3.147)代入(3.146),从vt的系数可以得到,
![]()
令v及其导数项等于零,可以得到


解这些方程,可以得到
![]()
这里a,b,c 和d都是常数。因此我们有下面的定理
定理 3.2.2 如果 q=ϕ并且ϕ由(3.150)确定则势方程是非线性自治的。