7.2 李对称分析
2026年01月14日
7.2 李对称分析
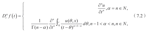
首先回顾一下分数阶导数的基本概念[126,127,128],Riemann-Liouville 分数阶导数定义如下

这里Γ(z)是Euler-gamma 函数。
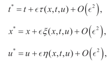
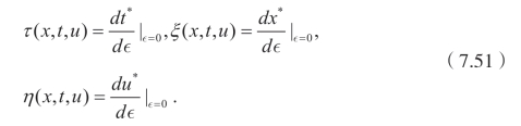
类似于李群在整数阶微分方程中的应用步骤,考虑(7.1)在单参数李点变换下是不变的,则


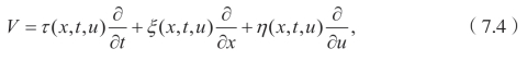
这里∊是群参数,相应的向量场是

这里

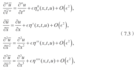
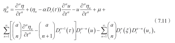
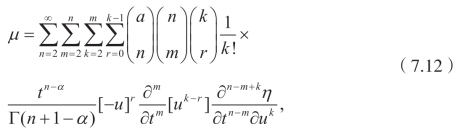
再利用无穷小不变性准则,可以得到
![]()
这里
.
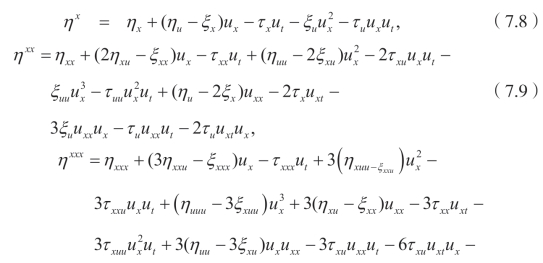
三阶延拓算子pr(α,3V) 是
![]()
这里ηx,ηxx,ηxxx 如同整数阶情况


特别是

同时

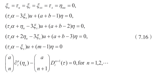
并且有额外的限制条件
![]()
相比李对称方法在整数阶非线性偏微分方程中应用而言,可以发现条件(7.11)和(7.13)对于分数阶非线性偏微分方程是十分关键的.
现在利用上面的描述,可以得到下面的定理
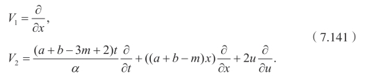
定理7.2.1 方程(7.1)的对称群由下面的向量场构成

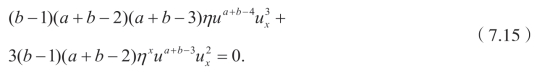
证明:假定(7.1)在单参数无穷小变换群(7.3)是不变的,可以得到下面的对称方程,


将(7.8),(7.9),(7.10)代入(7.15),并且令u的不同导数项等于零,可以得到

解这些方程,可以得到(https://www.daowen.com)
![]()
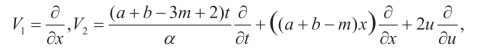
这里c1和c2是任意常数。因此,相应的向量场是
![]()
或者

这就完成了证明.
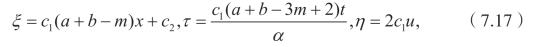
对于V2,可以得到相应的特征方程
![]()
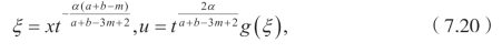
从而,可以得到下面的相似变量和相似变换
![]()
自然有
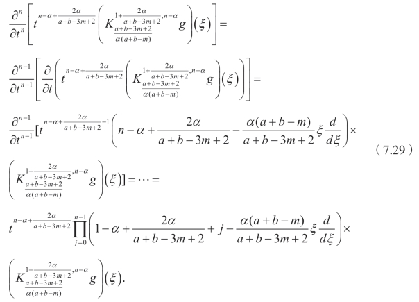
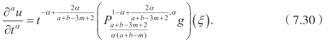
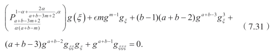
定理 7.2.2 变换(7.20)将(7.1)约化成下面的分数阶常微分方程


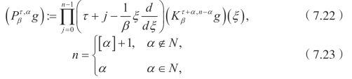
这里
是Erdelyi-Kober 分数阶微分算子[138]

其中

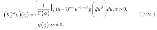
是Erdélyi-Kober 分数阶积分算子.
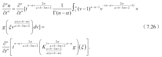
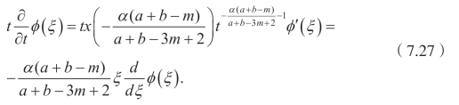
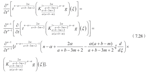
证明:首先令 n−1 < α<n,n=1,2,3,…基于Riemann-Liouville 导数和相似变换,可以得到

假定v=
,(7.25)变成

利用关系
,(7.26)进一步简化成

因此,可以得到

重复前面的步骤,有

因此

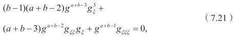
这样一来,可以发现(7.1)约化成下面的分数阶非线性常微分方程

这就完成了证明.