5.1 引言
从守恒律的角度来看,三阶或者更高阶的偏微分方程系统是十分有趣的,因为存在着高阶乘子以及守恒流。众所周知的是KdV 方程和五阶Boussinesq方程。
对于带有弱非线性波(带有弱非线性项)的Burgers-KdV 方程[105],
![]()
这里a,b 和g是常数,u是波的表面。
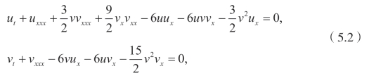
另一个更为复杂点的系统是演化Jaulent-Miodek 方程组

该方程最初是研究非线性演化方程的反散射问题(该反散射问题是和一维Schrödinger 问题相关)时导出[111]。在文献[112]中,作者通过Hamiltonian公式分析了该方程。作者在文献[113]中,研究了该方程的贝克隆变换。作者用He 的迭代方法和Adomian 分解法研究了该方程[114],无论从数值角度还是分析角度,许多作者都研究了该方程。此外,作者[115]研究了该方程的对称和一些守恒律。然而作者并没有显示地给出对称和乘子的关系。当然,如前所述,有大量的文献 [61,65-72,119-121]去处理非线性偏微分方程的守恒律,在这里不再一一描述。
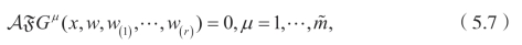
首先给出一些基本的概念。首先,考虑含有n个自变量x=(x1,x2,…,xn)和 m个因变量u=(u1,u2,…,um)的方程
![]()
这里u(1),u(2),…,u(r)分别表示一阶、二阶…,r阶偏导数,也就是 uia=Di(ua),
,…这里关于xi的全导数算子是

守恒流是指对于Φ=(Φ1,…,Φn)满足
![]()
可以发现,对于每一个守恒律都可以从乘子Qµ(x,u,u(1),…)得到,也就是说
(https://www.daowen.com)
对于一些Φi,如果该偏微分方程是变分的,则乘子是变分对称。对于任意给定的偏微分方程,存在一个决定系统去寻找相应的乘子(或者守恒律),之后,可以利用其他公式得到守恒密度。众所周知,对于每一个乘子Qµ,满足伴随方程
![]()
这里A
Gµ是Gµ的伴随Frechet 导数。
现在简单介绍一下利用Ibragimov 提出的伴随方程方法[72]的步骤,将会发现该方法(伴随方程、乘子、拉格朗日量)如何适用于高阶方程。这里差别在于,伴随方程的决定方程是通过乘子方法得到的

同时,

![]()
是欧拉拉格朗日算子。对于每一个已知的Qµ,定义函数同时可以发现,类似于前面提到的诺特定理(Noether’s theorem),则可以得到(5.3)的守恒流。也就是说,Φi=Ni L,这里Ni是诺特算子(Noether operator),即

这里,

是(5.3)的对称算子且 Wa=ηa−
是特征函数。
对于标量方程,记作Qµ=Q,对于方程组,记作(Q,P)为(Q1,Q2),对于含有两个变量(x,t)的方程,记自变量是(x1,x2),同时(Φx,Φt)用(Φ1,Φ2)来代替。