7.3 守恒律
2026年01月14日
7.3 守恒律
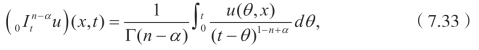
这一小节,将研究方程(7.1)的守恒律。考虑下面的 Riemann-Liouville 分数阶导数
![]()
这里Dt是关于t的微分算子,n=[α]+1,0Itn−αu 定义为[132]:

这里Γ(z)是Gamma 函数.
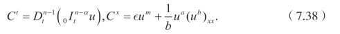
守恒向量场满足下面的守恒方程
![]()
这里Ct=Ct(t,x,u,…),Cx=Cx(t,x,u,…)。方程(7.34)称为方程(7.1)的守恒律.
引入方程(7.1)的拉格朗日函数如下

这里v(x,t) 是新的函数,则有
![]()
欧拉拉格朗日算子定义为[132,141]

这里(
)*是(Dtα)的伴随算子.
注意到(7.1)关于Riemann-Liouville 分数阶导数可以重新写成守恒的形式

伴随方程类似于整数阶情况,所以可以得到
![]()
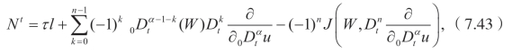
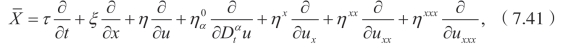
现在考虑含有两个自变量t,x 和一个因变量 u(t,x)的情况,则有
![]()
这里l是恒等算子,
是欧拉拉格朗日算子,Nt和Nx是Noether 算子,
是李对称算子的延拓公式(https://www.daowen.com)
![]()
并且特征函数如下
![]()
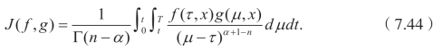
算子Nt定义如下[132,141]:

这里 J是[132,141]:

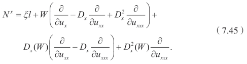
算子Nx如同整数阶情况

对于X以及方程的任意解,有下面的关系
![]()
从这个等式,可以得到守恒律
![]()
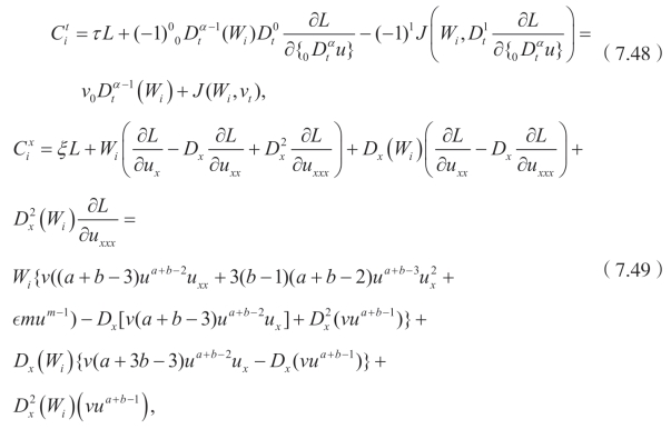
下面给出方程(7.1)的守恒律。
当α ∈(0,1)时,利用(7.43)和(7.45),可以得到

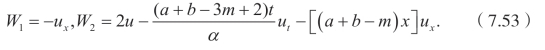
这里i=1,2 和特征函数Wi是

同理,对于α ∈(1,2)的情况,可以得到

这里i=1,2并且函数Wi有下面的形式
