3.2.3 非局域对称、线性化和显式解
3.2.3.1 势系统的非局域对称
寻找非局域对称是研究非线性演化方程的一项重要工作。因为非局域对称涉及新的变量,所以可以得到新的精确解及非局域守恒律。类似于三阶Burgers方程,可以将四阶Burgers 方程写成下面的势系统

并且将第一个方程代入第二个方程,可以得到下面的势方程
![]()
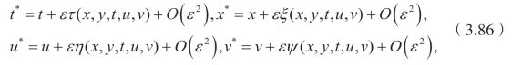
考虑李点对称

满足下面的方程

对于任意的(u,v)。此外,无穷小算子是

三阶延拓公式为

这里

同时,Dx和Dt 依然是全导数算子。
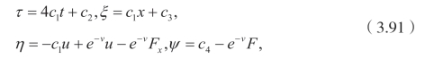
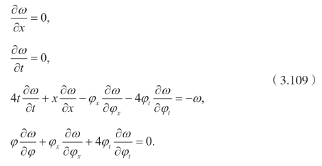
从对称方程,可以得到决定系统,解之得

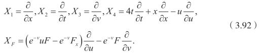
这里 F=F(x,t),且 F满足Ft−Fxxxx=0。因此,得到下面相应的向量场

3.2.3.2 通过非局域对称线性化势系统
类似于三阶Burgers 方程,试图从对称的角度将四阶Burgers 方程线性化。首先已经知道

有下面的无穷小算子

这里F=(F1,F2) 满足下面的线性方程

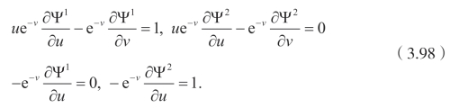
依然是利用[95,96]中的定理,
![]()
并且假定[95,96,98]:
![]()
于是有[95,96,98]:

解这几个方程,可以得到
![]()
因此,可逆映射µ由下面式子给出
![]()
将势系统(3.84)转换成下面的线性系统

并且有

将四阶Burgers 方程转化成下面的四阶线性的偏微分方程

需要指出的是(3.102)正是著名的 Cole-Hopf 变换。
3.2.3.3 四阶Burgers 方程的线性化
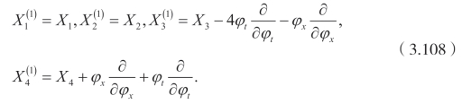
为了将四阶Burgers 方程线性化,首先给出四阶线性偏微分方程的对称
![]()
再次,考虑经典李群方法,可以得到
![]()
相应的向量场为

这里,F满足
![]()
利用[46] 给出的方法,可以得到

因此,有

求解上面的系统,也可以得到 Cole-Hopf 变换

再次,从点对称的角度,同样将四阶Burgers 方程转换成四阶线性偏微分方程。
3.2.3.4 通过Cole-Hopf 变换求显式解
从前面的小节可以看到,利用Cole-Hopf 变换,可以将四阶Burgers 方程转换成四阶线性偏微分方程,因此,只要我们得到四阶线性偏微分方程的显式解,再利用Cole-Hopf 变换,可以得到四阶Burgers 方程的精确解。现在考虑四阶线性偏微分方程(3.104)。对于该方程,

这里
![]()
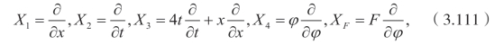
3.2.3.5 一维李代数的优化系统
首先,利用李代数给出优化系统[48]:

这里∊是实常数。其中[Xi,Xj]是交换李代数,由下面的式子给出
[Xi,Xj]=Xi Xj−Xj Xi.
表1和表2给出了李点对称的交换表和伴随表示。
表1 李代数交换表

表2 李代数的伴随
(https://www.daowen.com)
可以得到一个一维李代数的优化系统
X3+aV4,a∈R.
X2+bX1+cX4,
这里 b∈−{1,0,1}和c ∈R;如果 b=0,则c∈−{1,0,1}.
X1+dX4,d ∈{−1,0,1}.
X4.
3.2.3.6 显式解
现在,考虑方程的显式解。
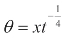
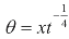
(1)对于向量场 X2,可以得到
![]()
这里 θ=x。将(3.113)代入(3.104),可以得到
![]()
很容易得到该方程的解
![]()
利用Cole-Hopf 变换,得到四阶Burgers 方程的显式解为

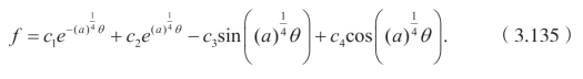
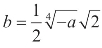
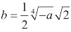
(2)考虑算子X3,有
![]()
这里
。将(3.117)代入(3.104),有
![]()
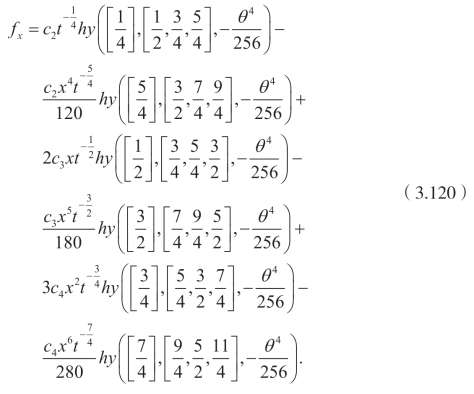
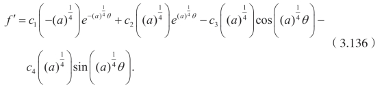
解这个方程,可以得到

这里hy 是一般的超几何函数。同时,也可以得到

再次利用Cole-Hopf 变换,可以得到四阶Burgers 方程的精确解为

这里 f 和fx分别由(3.119)和(3.120)给出,而
。
(3)对于线性组合 λX1+X2,可以得到
![]()
这里θ=x−λt。将(3.122)代入(3.104),得到
![]()
解这个方程,可以得到下面的情况:
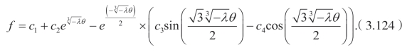
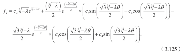
如果λ<0,则

此外,可以得到

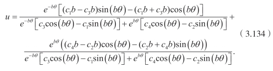
基于Cole-Hopf 变换,可以得到四阶Burgers 方程的显式解为

这里 f 和fx分别由(3.124)和(3.125)给出,θ=x−λt。
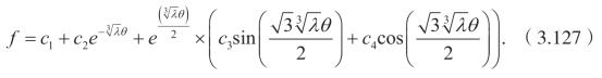
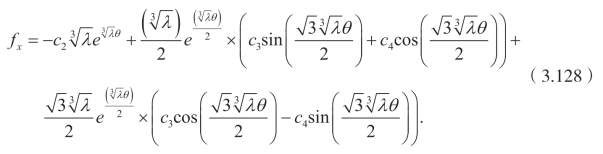
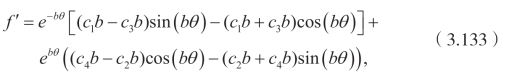
当 λ >0时,有

同时可以得到

再次利用Cole-Hopf 变换,可以得到

这里 f 和fx分别由(3.127)和(3.128)确定,θ=x−λt。
(4)对于线性组合X2+aX4,可以得到
![]()
这里θ=x。将(3.130)代入(3.140),得到
![]()
解这个方程,可以得到
如果a<0,则有
![]()
其中
。同时有

这里
。
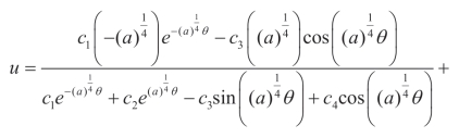
考虑Cole-Hopf 变换,可以得到四阶Burgers 方程的显式解为

当 a>0时,有

此外还有

利用Cole-Hopf 变换,可以得到


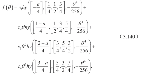
(5)对于向量场X3+aX4,可以得到
![]()
这里
。将(3.138)代入(3.104),有
![]()
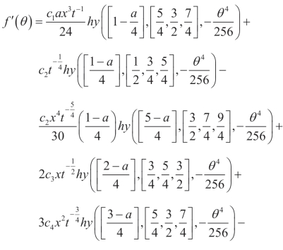
解这个方程,可以得到

同时可以得到


再次利用Cole-Hopf 变换,可以得到四阶Burgers 方程的精确解,这里不再一一列出。