5.2 应用
2026年01月14日
5.2 应用
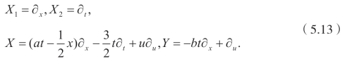
例1.首先考虑Burgers-KdV 方程(5.1),其李点对称算子是

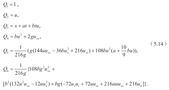
利用(5.8),二阶乘子Qi可以推出非平凡守恒律如下

需要注意的是每一个Qi都满足伴随方程
![]()
例如,对于乘子Q2=u,代入方程(5.1)中可以得到
![]()
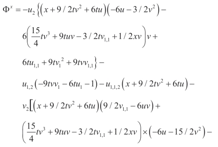
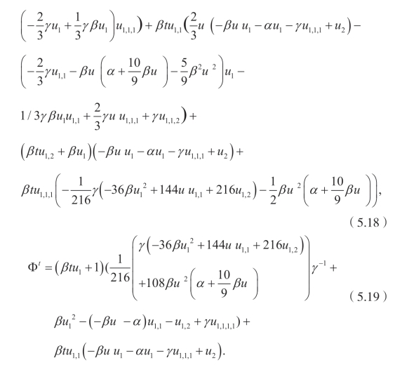
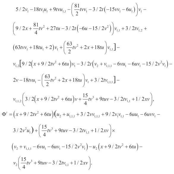
有趣的是对于高阶乘子,比如Q4,经过化简,方程(5.16)左边变成
![]()
其他乘子可以类似验证,从而发现乘子也满足伴随方程。因此,可以发现,对于高阶乘子所对应的守恒律,也可以通过伴随方程方法得到。
在本书分析中,会利用乘子Q1到Q5;Q6计算繁琐但是过程一样,所以不再详细列出。基于乘子和对称,相应的守恒向量场列出如下。
在下文中,如无特别说明,下标1和2 分别是指关于x和t的偏导数。
(i)Q3,X2:

(ii)Q3,X1:

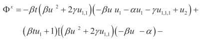
(iii)Q2,Y:

(iv)Q4,Y:


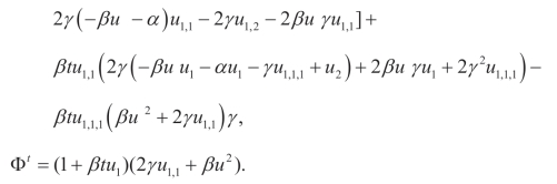
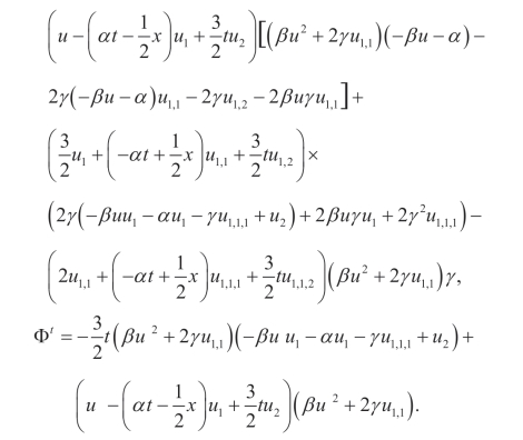
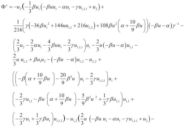
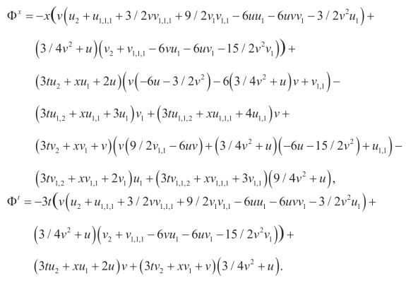
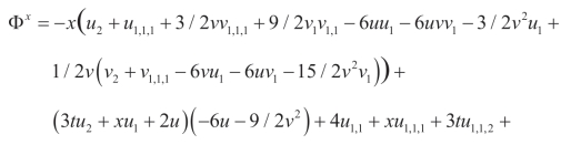
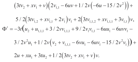
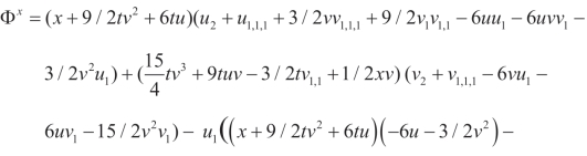
(v)Q1,X:

(vi)Q2,X:

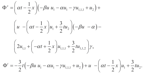
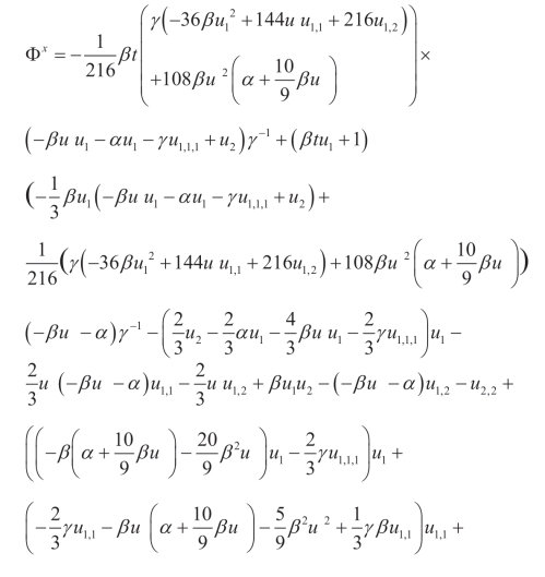
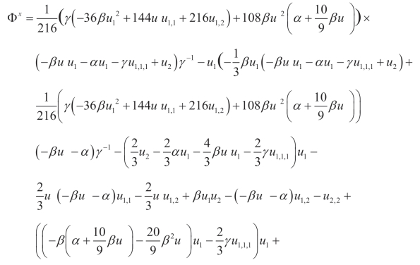
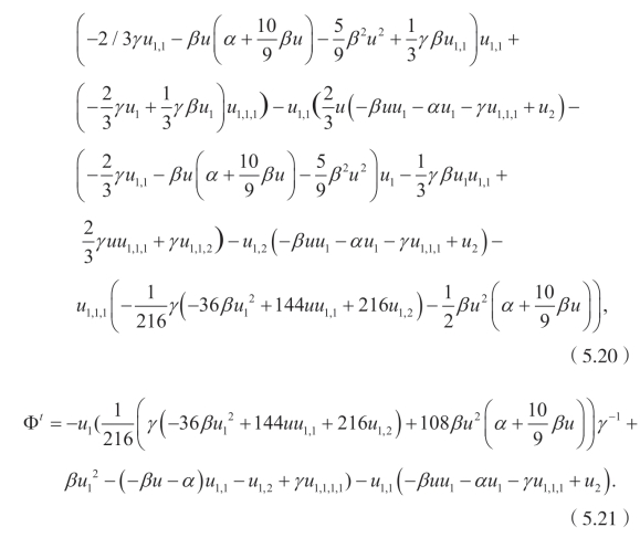
(vii)Q4,X:


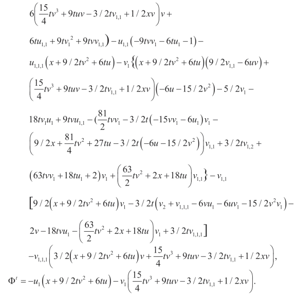
(viii)Q5,Y:

(https://www.daowen.com)
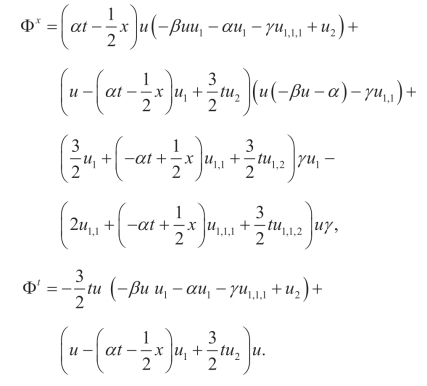
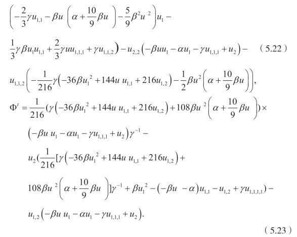
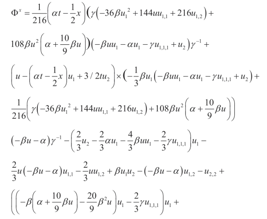
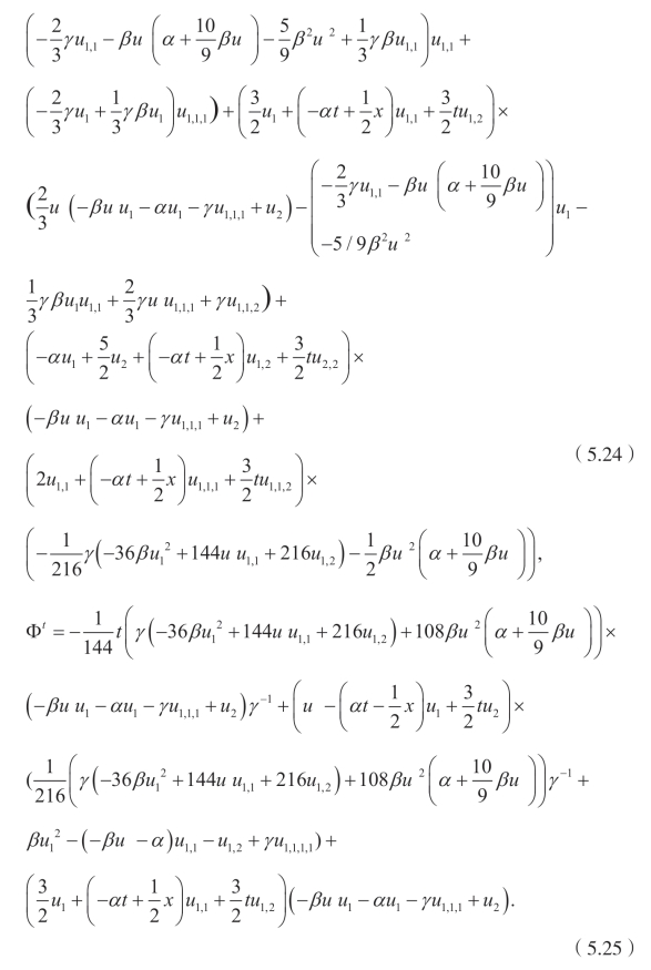
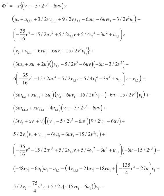
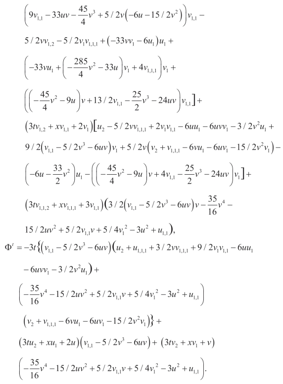
(ix)Q5,X1:


(x)Q5,X2:


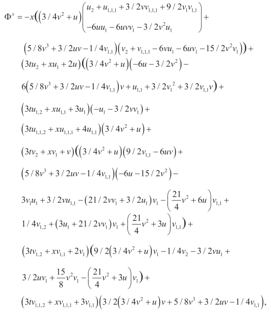
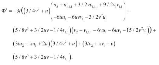
(xi)Q5,X:


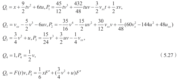
例2.第二个例子是演化的Jaulent-Miodek 方程组(5.2)。相应的对称
![]()
和二阶乘子分别是(Qi,Pi)

再次,利用前面的步骤可以得到
(i)(Q1,P1):

(ii)(Q2,P2):


(iii)(Q3,P3):


(iv)(Q4,P4):


(v)(Q5,P5):


利用(Q5,P5),可以得到另外的非平凡守恒流
(vi)

