6.2.3 德尔菲(Delphi)法
1.概念
德尔菲(Delphi)是古希腊传说中的神圣之地,据说城中有座阿波罗神殿,可以预卜未来,人们故借用其名来表达德尔菲这种方法在预测领域中的重要意义。1946年,美国兰德公司研究人员赫尔马(O.Helmet)和达尔奇(N.Dalkey)为避免集体讨论存在的屈从于权威或盲目服从多数的缺陷,首次用这种方法用来进行定性预测,后来该方法被迅速推广。
德尔菲法又称专家调查法或专家意见法。其基本思想是:在重视专家长期积累的经验和渊博知识的基础上,把专家知识、经验和智慧等无法量化的、带有模糊性的信息,通过函询调查进行信息交换;经过几轮征询和反馈,逐步得出专家群体倾向相对一致的预测结论,从而达到预测目的。该方法也可理解为:预测单位根据预测目的、要求,设计意见征询表,聘请一组专家,向他们提供与预测问题有关的情况和资料,发给征询表,要求专家根据自己经验进行判断,对征询表问题作出回答;在征询过程中,专家“背对背”,减少了相互间干扰。
2.预测步骤
德尔菲法具体实施步骤如下:
1)组织专门小组。
2)拟定调查提纲。
3)选择预测人选。
4)反复征询意见。
5)整理预测结果。
实施步骤框图如图6-5所示。

图6-5 德尔菲工作程序框图
3.德尔菲(Delphi)法特点
(1)匿名性 在征询调查中,应邀参加预测的专家互不相见,消除了心理因素的影响,不受权威的约束和能言善辩者的左右。专家可参考前一轮的预测结果修改自己的意见,使各种智慧充分发挥。
(2)反馈性 征询意见要进行几轮,组织者对每一轮预测结果要进行整理、综合。应答者从反馈渠道得知预测群体的主要意见以及各种不同意见的理由。同时,还可对反馈的信息及时沟通,进行分析比较,并能互相启发,从而产生新的判断,提高预测的准确性。
(3)收敛性 因为应答者每一轮回答都参照上一轮结果,这样经过数轮后,专家的判断就会相对集中而趋于一致。其中每轮意见都科学地综合了专家的预测意见和定量表示的预测结果。
4.预测结果处理
应答者的征询表回答反馈后,需要对回答进行数据统计综合,才能有效地进行下一轮的问答。常用的数据处理方法有:
1)对于技术预测,一般采用平均法、中位数法和权重法处理数据。
2)对于经济预测问题,一般采用主观概率法处理数据。
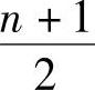
①中位值处理法:对于n名专家的回答结果按
Y1≤Y2……≤Yn-1≤Yn(i=1,2,……,n)
排序,则
所对应的值Yn/2就是中位值,Yn/4和Y3n/4分别叫上四分位值和下四分位值。
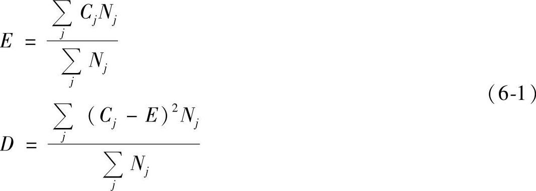
②权重处理法:权重法是一种将定性预测结果转化为定量指标的方法,它对预测中的每个因素给定一个分值。设有Nj个专家对可选答案j(对应分值为Cj)投了赞成票,则某轮总体预测的分值的均值和方差分别为

5.方法利弊
德尔菲法是专家会议调查法的一种发展,但其效果往往比专家会议法要好,其原因在于:
①克服了专家会议中常见的随大流或由某些权威一言定调的缺点,专家与专家之间互不见面,各专家的意见完全独立做出,消除了心理影响。
②为保证预测结果的可靠性,德尔菲法一般要经过多轮,并巨在下一轮开始时让专家充分参考本轮甚至以前各轮的预测分析结果,不仅能保证过程和结果的客观性和公正性,而巨能逐渐消灭个别固执己见的结论。(https://www.daowen.com)
③尽管德尔菲法本质上是一类定性预测的方法,但其非常注重定性向定量的转化工作,使方法不仅具有定性的优点,同时也具有部分定量优点。
④简单易行,可靠性好,能够充分发挥人的智慧和经验,适用于没有足够信息资料的中、长期经济预测和科技预测,适用于决策和科技咨询等。
⑤对于难于用精确的数学模型处理、需要征求意见的人数较多、成员比较分散、经费有限、难于多次开会或因多种原因不宜当面交换意见的问题,用该种方法预测效果较好。
德尔菲法除了以上优点外,也有以下缺点:受人的主观因素影响较大;需要的时间较长,适用于中、长期预测。
[案例] 某港口现有泊位不够使用,计划扩建。为对该项目迸行可行性研究,须对未来的运量情况迸行预测。预测采用德尔菲法迸行。
解:
1)提出问题。用德尔菲法预测某港未来货船量情况。
2)邀请专家。4位经济学家、3位研究人员、4位领导人员、6位业务管理人员、3位用户代表。
①发放意见征询表,要求他们对港口未来(以第四年)的货船量迸行预测。
②预测值分为最高货船量、最可能货船量、最低货船量。
3)意见汇总、整理、计算、分析。经过三轮的意见反馈,得到货船预测统计表,见表6-3。
4)根据统计表,采用适当的方法计算需要预测的货物量。
方法一:用平均数求解。计算数据为第3轮预测结果。
表6-3 预测数据


方法二:当意见比较分散时,用中位数法求解。
首先把20位专家第三次预测的货船量从小到大依次排列(如遇相同的数不重复计算):
最低货船量:36,40,80,85,88,90,100,112,120,140,160,200;
最可能货船量:110,112,130,136,140,148,150,160,164,180,200,220,280,300;
最高货船量:136,140,176,188,200,210,220,225,230,240,248,260,300,320。
其次,求出最低货船量、最可能货船量、最高货船量三个中位数的平均数,作为预测值。
中位数的计算公式为
,n为数列的项数。
最低货船量的中位数为
=6.5,故取第六、第七两个数的平均数为
=95
最可能货船量的中位数为
=7.5,故取第七、第八两个数的平均数为
=155
最高货船量的中位数为
=7.5,故取第七、第八两个数的平均数为
≈223
所以所求的第四年货船预测值为
