7.2.1 仿真模型的建立
2026年01月14日
7.2.1 仿真模型的建立
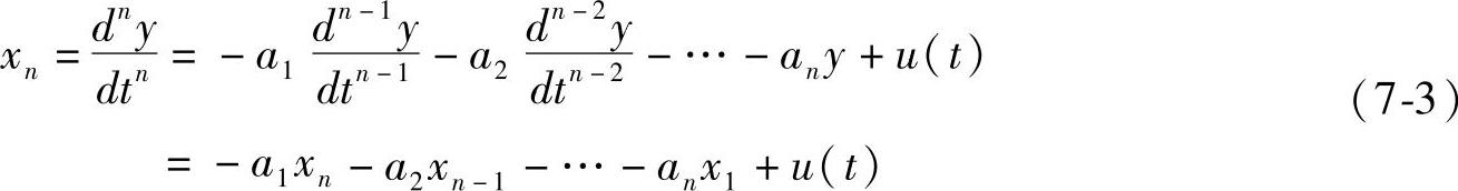
设有一个连续系统,它的高阶微分方程数学模型如公式7-1所示

现引进n个状态变量

则有

将上述n个一阶微分方程写成矩阵形式

将公式(7-4)和(7-5)用图形表达出来,就是如图7-4所示的仿真模型。

图7-4 仿真模型
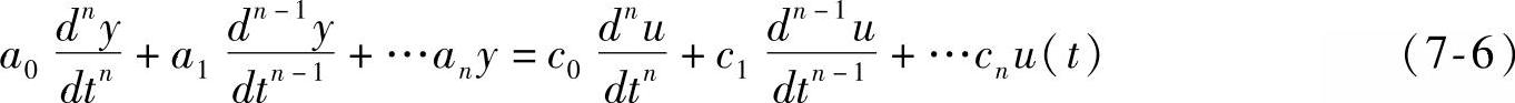
若系统的微分方程如(7-6)式所示
(https://www.daowen.com)
系统初始条件为:y(i)(t0)=y0(i),u(i)(t0)=u0(i),(i=1,2,…,n-1)。
即方程右端不仅有u(t),还有u(t)的各阶导数及其初值,则上述方法难以直接使用。其仿真工作可以按照下面思路来进行。
先把方程(7-6)转换成n个一阶微分方程

方程(7-7)与方程(7-6)等价,前者称为后者的伴随方程。
伴随方程以显式方式表达了状态变量与系统原输入/输出变量及其导数之间的关系,因而易于进行初始值转换。
接着求解以下系统状态方程及输出方程

其中

设a0=1,初始值转换方程为
