7.2.2 仿真模型的最小实现
2026年01月14日
7.2.2 仿真模型的最小实现
一个系统有多种实现,因而仿真模型也不是唯一的。但必有一部分的系统矩阵A具有最小维数,也就是最小实现。对照图7-4可知,A的维数直接对应着仿真模型中的积分器的个数。如果从仿真模型的简单性和系统可观测性来看,显然希望采用系统的最小实现来作为仿真模型。
由给定的传递函数G(s)或脉冲响应函数H(s),建立与输入/输出特性等价的状态方程
C(SI-A)-1B=G(S) (7-10)
满足上式的(A、B、C)称为系统G(S)的实现。而所谓的最小实现就是要求传递函数G(S)具有最简单形式。最小实现的充分必要条件是(A、B、C)为完全能控,巨完全能观测。
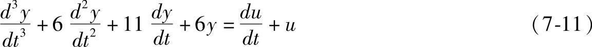
例如有一线性系统,可用如下的微分方程来描述

设y(t)和u(t)以及它们的各阶导数之初值均为零,则上式的传递函数可表达为(https://www.daowen.com)

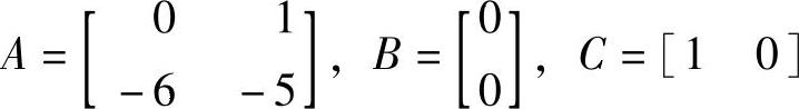
上式G(s)的最简单形式为

此时,系统的A、B、C分别为

这个(A、B、C)是能控、能观测的,因此是最小实现。利用这个模型来仿真只需要两个积分器就可以。