6.3.1 平均预测法
2026年01月14日
6.3.1 平均预测法
1.简单算术平均法
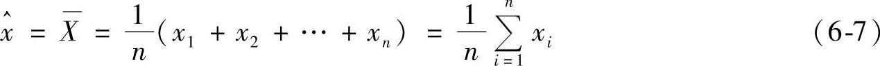
简单算术平均法是时间序列预测法中一种最简单的方法,它是将观察期内预测目标时间序列值加总平均,求得算术平均数,并将其作为下期预测值。
预测计算公式为

预测误差为
标准差
当样本为正态分布时,预测值发生在X士1SX范围内的可能性为68%;发生在X士2SX范围内的可能性为95.4%;发生在X士3SX范围内的可能性为99.7%。
当样本数较大时,可用分组法计算预测值。具体的计算公式如下
均值:
标准差:
式中,mi是第i组中值;fi是第i组样本个数。
2.加权平均预测法(https://www.daowen.com)
加权平均预测法是在简单平均法的基础上,对不同历史数据予以不同的加权系数,从而提高预测精度。
预测公式为

式中,Y是预测值;Xi是历史数据(i=1,2,…,n);Wi是各历史数据对应的加权系数(i=1,2,…,n)。
平均预测法具有方法简单之优点,但预测结果不太精准,只适用于短期预测。
[案例] 某储蓄所历年的储蓄余额见表6-6。一般来说,越靠近现在,其权重越大,试预测2005年该储蓄所的储蓄余额为多少。
表6-6某储蓄所1999年至2004年期间的储蓄余额

解:
