班轮运价与运费计算

四、班轮运价与运费计算

(一)班轮运价

班轮运价(Liner Freight)是班轮公司为运输货物而规定的运输价格,并按这种价格向货方收取运费。这种运费不仅包括货物从起运港至目的港的运输费用,也把起运港货物的装船费用和目的港货物的卸船费用包括在内,不会再向托运人另行收取。班轮运价表(Liner Freight Tariff),也称班轮费率表,是班轮公司收取运费、货方支付运费的计算依据。

班轮运价具有相对稳定性,即在一定时期(如半年、一年或更长时期)内保持不变。贸易合同中如运输条款规定为“班轮条件”(Liner Term),其含义是货物以班轮方式承运,船方负担装卸费用和不计滞期费和速遣费,并签发班轮提单。

1.班轮运价的特点

(1)班轮运价的收取包括货物从启运港到目的港的运输费用以及货物在启运港和目的港的装、卸费用。

(2)班轮运价一般是以运价表的形式公布的,是比较固定的。

(3)班轮运价是垄断性的价格。

(4)班轮运价由基本费率和各种附加费所构成。

2.班轮运价表的分类

班轮运价表一般由船方制定,往往偏袒船方利益,置货方于被动地位,但目前这种情况有了改善。班轮运价表的分类方法主要有以下两种:

从运价表的制定来划分,分为以下几种:

(1)班轮公会运价表。班轮公会运价表由班轮公会制订并决定其调整和变更,为参加公会的班轮公司所使用。这种运价表运价水平比较高,承运条件也明显有利于船方,是一种垄断性的运价表。远东水脚公会运价表即属此种。

(2)班轮公司运价表。班轮公司运价表是由班轮公司自己制订,并有权调整和变更运价表。这种运价表货方可以提出意见,但解释权、决定权在船方。如中远集团运价表《中国远洋货运运价本》是以交通部名义颁布的,属于班轮公司运价表性质。

(3)货方运价表。货方运价表是由货方(托运人)制订船方接受使用的运价表。在运价的调整和变更方面,货方有很大的权利。能制订运价表的货方,一般是较大的货主,掌握较大量的货载,并能保证常年有稳定的货源供应。中外运运价表《中国对外贸易运输总公司运价表》是由中国对外贸易运输公司代表货方制订的,属于货方运价表性质。

(4)双边运价表。双边运价表是由船、货双方共同制定,共同遵守实行的运价表。运价的调整和变更,须经船、货双方共同协商决定。这种运价表体现了船、货双方平等互利的精神。

从运价表的形式来划分,分为以下两种:

(1)等级运价表(Class Rate Freight Tariff)。等级运价表是根据商品的不同种类和性质,以及装载和保管的难易、货值的高低将全部商品分成若干等级,每一个等级有一个基本费率,商品被规定为哪级就按相应等级的费率计算运费。该运价表的优点是基本费率数目少,即将货物划分为20个等级,属于第1级的商品运价最低,第20级的运价最高。

(2)单项费率运价表(Single Rate Freight Tariff)。这种运价表是将每种商品及其基本费率逐个开列,每个商品都有各自的费率。香港华夏公司制订的中国至美国的运价表,就是单项费率运价表。

【阅读专栏五】

班轮公会

班轮公会(Freight Conference)又称航运公会,俗称水脚公会。它是由两个或两个以上在同一条航线上经营班轮运输的船公司,为避免相互间的竞争,维护共同利益,通过在运价和其他经营活动方面签订协议而组成的国际航运垄断组织。班轮公会主要采取的措施如下:

(1)制定费率。制定费率是班轮公会最主要的一项工作。所有参加公会的会员公司,协定共同遵守统一的费率,因此,这一费率又称协定费率。协定费率有固定费率和最低费率之分。固定费率是指会员公司之间协议为某一航线制定的一个固定运价,所有会员公司都必须遵守并按统一的运价计收运费,不得有任何增减。最低费率是指会员公司为某一航线制定的一个最低费率,所有的会员公司只能按高于或等于所规定的费率计收运费,而不得按低于所规定的费率收费。

(2)统一安排营运。班轮公会在其控制的航线上统一安排营运所采取的主要措施有:限制航次及挂靠港口,规定各会员公司在一定时期内船舶艘次数和每一航次的靠港数,并制订船期表,各会员公司都必须遵守这一规定;限制货载,为各会员公司划定装货区域,规定各会员公司在一定时期内货载的分配数额,但允许有一定百分比的伸缩。

(3)统筹分配收入。公会为了平衡各会员公司的利益,将会员公司的运费收入的全部或部分集中起来,按预先规定的比例进行分配。对那些为公会利益作出牺牲的会员公司而言,此举为一种补偿性安排。在防止或对付来自外部的竞争,班轮公会又主要采取以下措施:规定延期回扣制(Deferred Rebate System),是班轮公会争揽货载时通常采用的回扣制度,延期回扣制度要求货主必须与班轮公会签订所谓“忠诚信约”(Loyalty Contract),即在一定时期内,货主将自己的货物全部交由经营某一班轮航线的班轮公司运输,在计算期届满时,可按整个计算期间所支付运费总额的一定百分比从班轮公会取得回扣。按照延期回扣制,在连续两段期间内,货主将其货物全部交给该班轮公会运输,才能得到自己应得的回扣,否则将被剥夺回扣享受权。

合同费率制(Contract Rate System)又称双重费率制(Dual Rate System),它实际上是延期回扣制的替代方式。在这种制度下,货主与班轮公会签订全部交运合同,享受特别低廉的公会运价或运价不变的待遇。那些没有与班轮公司签订全部交运合同的货主则不能享受合同费率,必须按非合同费率计收运费。安排战斗船(Fighting Ship)是班轮公会船舶与非会员船舶展开竞争的重要方式。当班轮公会垄断的航线上出现非会员船舶营运时,班轮公会即按照非会员船舶航行的相同船期和停靠港口,派出战斗船,以低于非会员的费率揽货承运,直到对方被挤出该航线为止。至于战斗船的一切损失,则由公会成员共同承担。

(二)班轮运价表的基本内容及查找方法

1.班轮运价表的内容

班轮运价表一般包括以下一些内容:

(1)说明及有关规定(Notes and Conditions)。这部分内容主要是规定该运价表的适用范围、运费计算办法、支付办法、计价货币、计价单位以及船货双方责任、权利、义务和各类货物运输的特殊规定及各种运输形式(如直航、转船、回运、选择或变更卸货港等)的办法和有关规定。

(2)港口规定及条款。这一条款主要是将一些国家或地区的港口的规定和习惯做法列入运价表内。

(3)货物分级表。这部分内容主要是列明各种货物的名称、运费计算标准、货物所属的运价等级。商品列名一般都用英文名称并按英文字母顺序排列。也有的分列大类,各大类的最后都有一项“未列名货物”(Cargo Not Otherwise Enumerated,CARGO N.O.E),还有商品附录(Commodity Appendix),它是商品列名的补充。

(4)航线费率表。列明不同的航线及不同等级货物的基本运费率。基本费率是计算运费的基础,它不包括附加费。等级运价表的基本费率就是各航线的等级费率。

(5)附加费率(Surcharges)表。列明各种附加费及其计收的标准,用以针对客观情况的变化补充基本费率的不足。

(6)冷藏货费率表及活牲畜费率表。列明各种冷藏货物和活牲畜的计费标准及费率。

2.班轮运价表的查找方法

如果是单项列名费率表,查找起来就比较简单,找到商品就同时找到了运价和计价单位,再加上有关附加费即可;如果是等级运价表,则首先要根据商品的名称,从货物等级表中查出商品等级和计算标准,然后从按航线港口划分的等级费率表中查出商品的基本费率,最后加上各项必须计算的运价表,所得的总和就是有关商品的单位运费。

(三)班轮运价的计算标准

(1)按货物的毛重计收,也称重量吨。在运价表中以“W”字母(英文Weight的缩写)表示。一般以1公吨为计算单位,吨以下取二位小数,但也有按长吨或短吨计算的。

(2)按货物的体积计收,也称尺码吨(Measurement Ton)。在运价表中以“M”字母(英文Measurement的缩写)表示。一般以1立方米为计算单位或40立方英尺为1尺码吨计算的。

(3)按货物的毛重或体积计收运费,计收时取其数量较高者。在运价表中以W/M字母表示。按惯例凡1重量吨货物的体积超过1立方米或40立方英尺者即按体积收费;1重量吨货物其体积不足1立方米或40立方英尺者,按毛重计收。

(4)按货物的价格计收运费,又称从价运费。一般按商品FOB货价的百分之几(百分之零点几到5%不等)计算运费。按从价计算运费的,一般都属高值货物。在运价表中以“Ad val”(拉丁文Advalorem的缩写)表示。

(5)按货物重量或体积或价值三者中最高的一种计收,在运价表中以“W/M or Ad val”表示。也有按货物重量或体积计收,然后加收一定百分比的从价运费。在运价表中以“W/M plus Ad val”表示。

(6)按货物的件数计收。如汽车、火车头按辆(Per Unit);活牲畜如牛、羊等按头(Per Head)计费。

(7)大宗低值货物按议价计收运费(Open Rate)。如粮食、豆类、煤炭、矿砂等。上述大宗货物一般在班轮费率表内未被规定具体费率。在订舱时,由托运人和船公司临时洽商议订。议价运费比按等级运价计算的运费低。

(8)起码费率(Minimum Rate)。它是指按每一提单上所列的重量或体积所计算出的运费,尚未达到运价表中规定的最低运费额时,则按最低运费计收。应当注意的是,如果不同商品混装在同一包装内,则全部运费按其中较高者计收。同一票商品如包装不同,其计费标准及等级也不同。托运人应按不同包装分列毛重及体积,才能分别计收运费,否则全部货物均按较高者收取运费。同一提单内如有两种或两种以上不同货名,托运人应分别列出不同货名的毛重或体积,否则全部将按较高者收取运费。

(四)附加费

为弥补运输方在运输途中的特殊开支,船公司在基本运费之外向货主加收各种附加费(Surcharges/Additionals)。

附加费的计算方法,有的用绝对数计算,每运费吨若干金额;也有的用百分比来计算,在基本费的基础上乘以百分比而得出。附加费是随航运情况的变动而变化的,班轮运输中常见的附加费有以下几种:

(1)燃油附加费(Bunker Adjustment Factor,BAF)。由于油价经常波动,船公司向托运人收取运价一定百分比的燃油附加费。

(2)港口附加费(Port Surcharge)。由于有些港口设备差、装卸效率低,使得船舶在港口停靠时间增长,成本上升,为弥补这部分损失,船公司向托运人收取港口附加费。

(3)港口拥挤附加费(Port Congestion Surcharge)。它指由于泊位少,港口拥挤,船舶需长时间在港口等泊,船方为弥补船期损失而收取的附加费。

(4)选港附加费(Additional for Optional Destination)。有时由于某种原因,托运人在办理托运手续时不能确定具体的卸货港,仅在班轮停靠港中列出两个或两个卸货港待选择。此时,班轮公司要收取选港附加费,并且要求货方在船舶抵达第一卸货港前48小时向船方宣布,否则船方可以按船舶靠港顺序在第一个选卸港或任何一个船方认为方便的选卸港卸货。

(5)变更卸货港附加费(Additional for Alteration of Destination)。在船舶驶离装货港后,提单持有人提出要求,班轮公司同意后可以变更卸货港。但要向货方收取变更卸货港附加费,按货物的运费吨计收。

(6)转船附加费(Transshipment Surcharge)。如果货物的目的港属于班轮的非基本港,也就是班轮一般不挂靠的港口,对于这些货物,班轮公司需要在中途港把这些货物转运至目的港,因此向货方加收转船附加费。

(7)直航附加费(Direct Additional)。在运往非基本港货物的一次货量达到一定数量时,船方可以安排直航卸货,但需要加收直航附加费,直航附加费一般要比转船附加费低。

(8)绕航附加费(Deviation Surcharge)。如果由于某种原因使船舶不能按正常航线而必须绕道航行,船公司为弥补自己增加的开支,会加收绕航附加费。这一般是临时性的措施,只要航线恢复正常,附加费就会取消。

(9)货币贬值附加费(Currency Adjustment Factor,CAF)。由于外汇市场上汇率经常波动,如果计算运费的货币贬值,会造成班轮公司的实际收入减少,为弥补这部分损失,班轮公司会向货方收取这类附加费,这类费用一般是随着货币贬值的幅度按基本费率的一定百分比收取的。

(五)班轮运费的计算

班轮运费是由基本费率(Basic Freight Rate)和各种附加费(Additionals or Surcharges)所构成。基本费率是班轮运费的计算基础,就是班轮航线内基本港之间对每种货物规定的必须收取的费率,包括各航线等级费率、从价费率、冷藏费率及议价费率等。附加费是除基本费率外,在某些特殊的情况或条件下,班轮公司为弥补自己成本的增加而额外加收的费用。

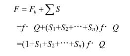
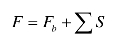
1.班轮运费的计算公式

式中,F表示运费总额,Fb表示基本运费,S表示某一项附加费。

基本运费是所运输货物的数量(质量或体积)与规定的基本费率的乘积,可表示为:

式中,f表示基本费率,Q表示货运量(运费吨)。

附加费是指各项附加费的总和。在多数情况下,附加费按基本运费的一定百分比计算,其公式为:

其中S1,S2,…,Sn为各项附加费率。

代入运费计算公式可得:

如附加费以绝对数表示,则附加费总额为:

代入运费计算公式是:

2.班轮运费的计算步骤

(1)核实托运人提供的货物名称、译名、包装、质量、尺码、装卸港口、是否需要转船及卸货港的选择等信息。

(2)根据货物的名称,从货物分级表中查出该货物的运价等级和计费标准。

示例如下:

货物分级表

(3)在等级费率的基本费率部分,找到相应的航线、起运港、目的港,按等级查到基价。

(4)再从附加费部分查出所有的应收附加费项目和数额(或百分比)及货币种类。

(5)根据基本运价和附加费计算出实际运价:运费=运价×运费吨。

中国—东非航线等级费率表 单位:港元

注:东非的基本港口为路易港(毛里求斯)、蒙巴萨(肯尼亚)等。

3.运费计算实例

[例]上海运往肯尼亚蒙巴萨港口“门锁”(小五金)一批计100箱。每箱体积为20厘米×30厘米×40厘米,每箱重量为25千克,当时燃油附加费为40%,蒙巴萨港口拥挤费为10%,试计算该货物的运费。

计算方法:

(1)查阅货物分级表。门锁属于小五金类,其记收标准为W/M,等级为10级。

(2)计算货物的体积和重量。

100箱的体积为:(20厘米×30厘米×40厘米)×100箱=2.4(立方米)

100箱的重量为:25千克×100箱=2.5(公吨)

由上述计算可知,记收标准为重量。

(3)查阅“中国—东非航线登记费率表”,10级费率为443港元,则基本运费为:

443×2.5=1107.5(港元)

(4)附加运费为:1107.5×(40%+10%)=553.75(港元)

(5)上海运往肯尼亚蒙巴萨港100箱门锁,其应付运费为1107.5+553.75=1661.25(港元)