5.3.3 激活检测或统计参数计算
1.激活检测
对任务态fMRI数据的分析和处理,首先需要确定与任务对应的激活区。其次是对激活区内部的时间序列曲线的变化情况进行分析,以研究各个激活区活动期间的信号变化情况,最终得到各个功能区之间的相互关系,包括空间关系和时间关系。研究者目前一般都使用SPM或AFNI软件,这两个软件都可以使研究者很方便地基于广义线性模型来分析和处理任务态fMRI数据。研究者需要提供给软件的是设计矩阵,然后使用SPM或AFNI软件就可以很方便地估计出控制变量的效应大小,进而找到受控制变量影响的脑区,即和任务刺激相对应而激活的脑区。图5.18为SPM绘制的赌博任务激活脑区的示意图。

图5.18 SPM绘制的赌博任务激活脑区的示意图(书后附彩插)
2.参数计算
因为没有实验任务,静息态fMRI数据不能采用GLM方法进行分析。目前,最常用的静息态fMRI数据分析方法有独立成分分析,局部一致性、低频振荡振幅以及功能连接等。
1)低频振荡振幅
“低频振幅”假设静息态大脑BOLD信号在低频范围内是有生理意义的,使用一个频段内所有频率点上幅值的平均值来刻画一个体素自发活动的强弱,从能量角度反映各个体素在静息状态下自发活动水平的高低。一般认为,ALFF增强说明神经元兴奋性高,代谢强;ALFF减弱说明神经元受到抑制,代谢弱。已有研究发现,静息态睁眼、闭眼两种条件下视觉区的低频振幅有很大差异,说明低频振幅至少可以区分这两种生理状态。使用低频振幅指标发现,在ADHD儿童中,右侧额下回、前扣带回、左侧感觉运动皮层、小脑、双侧脑干都存在异常,和以前对ADHD的研究结果一致。
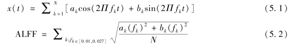
在0.01~0.08 Hz的范围内,也可以进行分频段研究。根据左西年等的研究,他把频谱分成4个频段:slow 5(0.01~0.027 Hz),slow 4(0.027~0.073 Hz),slow 3(0.073~0.198 Hz)和slow 2(0.198~0.25 Hz),并且在灰质中检测到显著的slow 4振荡和slow 5振荡,而slow 3振荡和slow 2振荡主要局限于白质。以slow-5频段为例,ALFF计算公式如式(5.1)、式(5.2)所示。

式中,x(t)表示每个体素去除线性漂移后的时间序列,ALFF为特定低频范围内的幅度之和。将预处理后的每个体素的时间序列经过带通滤波器,根据需要选择滤波频段,研究者常用的频段有0.01~0.1 Hz、slow 4频段、slow 5频段;将滤波结果经过快速傅里叶变换后获得功率谱。由于给定频率的功率与时域中原始时间序列的该频率分量的幅度的平方成比例,因此在功率谱的每个频率处计算出平方根,在每个体素处获得该频率段下的平均平方根,即为ALFF。为了标准化,每个体素的ALFF除以全脑所有体素的平均ALFF值,得到每个体素的标准化的ALFF(mALFF),mALFF应具有约1的值。(https://www.daowen.com)
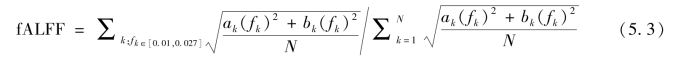
ALFF易受到生理噪声的影响,尤其在心室和大血管附近,因此研究者就提出了ALFF比率(fALFF)的指标,fALFF被定义为特定频带内的低频波动对整个可检测频率范围的相对贡献,即将低频信号的能量除以整个频段的功率,计算公式如式(5.3)所示。ALFF可以有效降低对生理噪声的敏感性。

2)局部一致性
局部一致性是用来测量局部神经元活动在时间上的一致性的方法。假设在一定条件下功能区内相邻体素的BOLD信号随时间变化具有相似性,使用肯德尔和谐系数(Kendall's coefficient of concordance,KCC)作为指标来度量一个团块内的体素(7个、19个或27个体素)之间时间序列变化的一致性。ReHo指标越高,表明局部神经元活动的一致性就越高,反之则表明局部脑区活动在时间上的无序性,也可能暗示当前区域神经元活动发生异常或者紊乱。局部一致性指标易受到高斯平滑的影响,计算ReHo时应把对信号的空间平滑操作放在ReHo指标计算之后。
已有研究发现,后扣带回、内侧前额叶以及双侧顶下小叶(inferior parietal cortex)这几个脑区表现出任务非特异性的负激活(task independent deactivation,TID)。并且,静息态PET(正电子发射体层成像)研究也发现,这几个脑区的代谢在全脑中是最高的。而采用ReHo方法研究发现,后扣带回、内侧前额叶以及双侧顶下小叶在静息状态下的ReHo值显著高于运动状态。进一步的研究发现,静息态下这几个脑区的ReHo值在全脑中最高,也就是说,这两项ReHo研究的结果与Raichle等的结果是一致的。
3)功能连接
功能连接运用相关分析方法来度量不同体素或脑区之间信号的同步性,这种同步性主要通过时间序列的相关系数(功能连接)来描述。功能连接考察的是ROI之间或者ROI与全脑所有体素之间的线性相关程度,由此判断是否与ROI在功能上有较高的相似性即有无功能连接,最后得到功能连接网络。目前常用的功能连接分析方法有种子点功能连接方法和聚类(clustering)分析方法。
种子点功能连接方法简单、灵敏、易于解释,是目前使用最广泛的fMRI功能连接分析方法。这种分析方法首先需要确定种子点,提取该种子点的时间序列,并对其所在脑区的时间序列进行平均,然后通过皮尔逊线性相关系数(r)度量种子点与其他脑区时间序列的相关性,得到一个相关系数r值标记的脑图像,通过r值量化种子点和其他脑区功能连接的强度。通过设定种子点的功能连接计算方法,可以得到种子点所在脑区的全脑功能连接图,但是这种方法也有自身缺陷,由于所获得的功能连接结果对种子点有一定的依赖性,使用这种方法需要明确的事先假设,种子区选择基于前人研究或者先验模板。如图5.19所示,为Power等[3]划分的264个功能脑区及其皮尔逊功能连接矩阵。

图5.19 Power等划分的264个功能脑区及其皮尔逊功能连接矩阵(书后附彩插)
(a)Power等划分的264个功能脑区;(b)皮尔逊功能连接矩阵
聚类分析方法同样需要预先定义种子点区,和种子点功能连接不同的是,聚类分析需要选取多个种子点作为感兴趣区。计算获取各感兴趣区时间序列之间的相关系数,然后利用这些相关系数构建矩阵,通过一定的聚类算法来定义和区分功能连接网络,最终转变为等级树或拓扑图,以这种方式将脑区之间的关系表现出来。这种方法和种子点功能连接方法有共同之处,相当于做了多次种子点功能连接,因此可以结合两种方法,通过前者得到相应的激活脑区,再利用聚类分析方法得到更加合理的脑区间功能连接。