5.4.1 弥散张量成像的物理基础
1.弥散
分子扩散(弥散)是指分子的随机平移运动,也称布朗运动,是由分子所携带的热能引起的运动。水分子在扩散磁共振成像研究中最为常见。水在与内部结构对齐的方向上扩散得更快,在垂直于上述方向时扩散得更慢。
2.弥散张量
分子从起始位置经过指定时间间隔后漂移的距离用弥散张量D表示,其矩阵表述如下:

对于均匀介质,弥散系数D是一个标量,反映的是组织扩散的各向同性,也就是说在均匀介质中分子向各个方向运动的概率相同。但是对于非均匀的(各向异性,弥散具有方向依赖性的)介质,如白质纤维束中,扩散系数取决于神经纤维束的走向,那么其扩散张量就要采用上述矩阵表示。对于扩散张量矩阵进行对角化处理,可以得到3个特征值(λ1、λ2和λ3)和对应的特征矢量(e1、e2和e3):

在各向异性组织中,在给定扩散时间情况下,分子扩散形成一个椭球。这一椭球的半径与特征值成正比,椭球的空间走向由特征矢量决定。特征值、特征矢量与扩散椭圆的关系如图5.20所示。
在研究脑白质纤维走向时,我们将特征值降序排列(λ1≥λ2≥λ3),最大特征所对应的特征矢量方向就是神经纤维的走向,沿着线位的走向扩散率大于垂直的纤维走向。白质的各向异性明显大于灰质,二者的扩散张量椭球如图5.21所示,可以看出,灰质也并不完全是各向同性。所以在追踪白质纤维时会对各向异性设置一个阈值。

图5.20 特征值、特征矢量与扩散椭圆的关系(摘自《脑功能成像物理学》[1])

图5.21 灰质、白质扩散椭球示意图(摘自《脑功能成像物理学》[1])(https://www.daowen.com)
(a)灰质;(b)白质
3.常见导出量
将3个特征值进行不同的组合可以得到不同的变量,常见的变量包括以下几个。
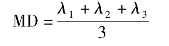
平均扩散率(mean diffusivity,MD)代表扩散椭球的平均半径:
![]()
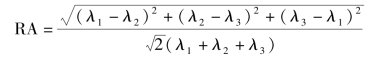
相对各向异性(relative anisotropy,RA)计算的是特征值的方差与平均值的比值:

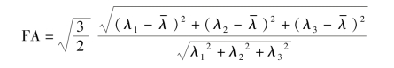
各向异性比值(fractional anisotropy,FA)可以形象地理解为扩散椭球“椭”的情况,FA越大,椭球越扁长。它是扩散张量的各向异性成分与整个扩散张量的比值:

根据上式可以看出,当λ1=λ2=λ3时,FA=0,当λ1≫λ2≫λ3时,
,FA近似于1。所以FA的取值范围是0~1,FA与扩散的各向异性成正比。
容积比(volume ratio,VR)等于扩散椭圆体积与半径为平均扩散率的球的体积之比:
