3.1.2  机床运动的分析及其计算

3.1.2 机床运动的分析及其计算

车削螺纹时,必须保证主轴每转一转,刀具准确地移动被加工螺纹一个导程的距离,由此可列出螺纹进给传动链的运动平衡式

978-7-111-48239-0-Chapter03-5.jpg

式中 u0——主轴至丝杠之间全部定比传动机构的固定传动比;

ux——主轴至丝杠之间换置机构的可变传动比;

L——机床丝杠的导程,CA6140型卧式车床L=12mm;

L——被加工螺纹的导程(mm)。

不同标准的螺纹用不同的参数表示其螺距。

根据螺纹进给传动链可知,CA6140型车床车削上述各种螺纹时的传动路线表达式为

978-7-111-48239-0-Chapter03-6.jpg

其中,u倍为轴ⅩⅤ—ⅩⅦ间变速机构的可变传动比,称为增倍机构,共4种:

978-7-111-48239-0-Chapter03-7.jpg

当需要车削导程大于12mm的螺纹时(如大导程多线螺纹或油槽),可将轴Ⅸ上的滑移齿轮58向右移动,使之与轴Ⅷ上的齿轮26啮合,这一传动机构称为扩大螺距机构。此时,主轴Ⅵ至轴Ⅸ间的传动比为

978-7-111-48239-0-Chapter03-8.jpg

必须指出,扩大螺距机构的u是由主运动传动链中背轮的啮合位置确定的,并对应着一定的主轴转速。当主轴转速为10~32r/min时,导程可扩大16倍;当主轴转速为40~125r/min时,导程可扩大4倍;当主轴转速更高时,导程则不能扩大。这是符合生产实际需要的,因为大导程螺纹只有将主轴置于低转速时才能安全车削。

车削用进给变速机构无法得到所需导程的非标准螺纹时,或者车削精度要求较高的标准螺纹时,必须将离合器M3、M4、M5全部啮合,把轴ⅩⅡ、ⅩⅣ、ⅩⅦ和丝杠连成一体,让运动由交换齿轮直接传到丝杠。由于主轴至丝杠的传动路线大为缩短,减少了传动件制造和装配误差对工件螺距精度的影响,因而可车出精度较离的螺纹。

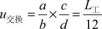
此时螺纹进给传动路线的运动平衡式为

978-7-111-48239-0-Chapter03-9.jpg

化简后得交换齿轮换置公式为

978-7-111-48239-0-Chapter03-10.jpg