3.球头立铣刀加工圆弧曲面的行距与步进角计算
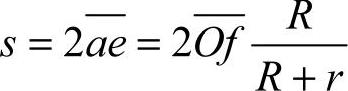
球头立铣刀加工凸球面时,零件外形的纵剖面为一凸圆弧,各参数的关系如图12-14所示。在图12-14a中,设凸球弧面球心为计算坐标原点,R为凸圆弧半径,r为球头刀的球心半径,δ为残高误差,s为行距,则确定行距s的几何关系计算公式为

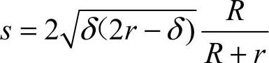
当球头刀半径与零件曲面上曲率半径R相差较大,而且在一定表面粗糙度要求条件下的残高误差δ较小时,可以近似取
,因此行距计算公式为

图12-14 球头刀加工凸球面时各参数之间的关系

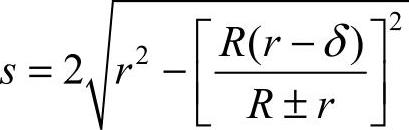
如果需要比较精确地计算行距s,则可以使用下式:

在手工编程中,设θ为等角度层切深的步进角,可由图12-14b确定步进角θ与行距s之间的关系

公式中“±”号的取法:当被加工零件的曲面为凸球面时取“+”号,为凹球面时,取“−”号。