11.3.2  两节任意角度等径弯头

11.3.2 两节任意角度等径弯头

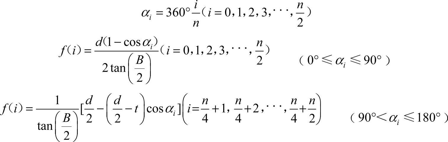
两节任意角度等径弯头的立体图和主视图如图11-7所示,只需计算一节的展开尺寸即可,计算的已知条件是管外径d、管壁厚t、弯头两节轴线夹角B(称为半角)和等分数n。等分数越多,展开图的精度越高,一般来说管径小时等分点少,管径大时等分点多,这样作出的展开曲线才光滑。其计算公式为

978-7-111-48239-0-Chapter11-24.jpg

图11-7 两节任意角度等径弯头

a)立体图 b)主视图

978-7-111-48239-0-Chapter11-25.jpg

式中 αi——圆心角在第i条等分时的角度(°);

fi)——展开素线高度(mm);

i——等分点的编号。