两相交圆弧(含过渡圆弧)交点的简化计算

2.两相交圆弧(含过渡圆弧)交点的简化计算

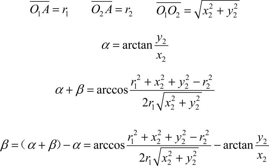
如图12-20所示,圆弧O1圆心的坐标为978-7-111-48239-0-Chapter12-77.jpg、半径为r1,圆弧O2圆心的坐标为978-7-111-48239-0-Chapter12-78.jpg、半径为r2,过渡凹圆弧O的半径为R,为了计算方便,将圆弧O1圆心的坐标978-7-111-48239-0-Chapter12-79.jpg设为计算原点,根据给定的已知条件有

978-7-111-48239-0-Chapter12-80.jpg

交点A的坐标可以由以下方程组计算求得:

978-7-111-48239-0-Chapter12-81.jpg

978-7-111-48239-0-Chapter12-82.jpg

图12-20 两相交圆弧(含过渡圆弧)交点的计算