12.3.2 过圆外一点的直线与圆相切的切点坐标计算
由圆外一点
向圆
作切线,切线与圆相切的切点是
,如图12-5所示。由于切线过Po点,故Po的坐标满足切线方程,即
;又Po在圆上,故Po的坐标满足圆的方程,即
。由此可知,求切点坐标
只要联立求解上面两个方程组即可。
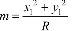
计算切点坐标的公式为

其中

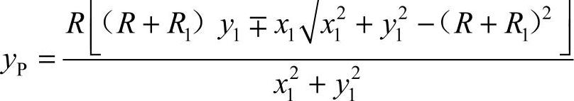
如果是图12-6a所示的公切线Ⅰ的情况,即P点对应于α+β,则xP取“−”号;如果是图12-6b所示的公切线Ⅱ的情况,即P点对应于α−β,则xP取“+”号。而yP的符号与xP的符号取法相反。
接着求出切点Q的坐标
。由于P点在XOY坐标系的坐标P(xP,yP)与Q点在
坐标系的坐标
有比例关系,因此切点Q在
坐标系的坐标为


图12-6 两圆内公切线切点坐标的计算
a)公切线Ⅰ b)公切线Ⅱ