6.5.4  孔的坐标尺寸及公差计算

6.5.4 孔的坐标尺寸及公差计算

(1)确定孔位坐标尺寸 图6-14所示壳体工件,起始孔Ⅰ加工完毕后,准备加工Ⅱ孔。按图6-14中尺寸不能满足加工所需坐标尺寸,为此应以Ⅰ孔为零位建立直角坐标系,如图6-15所示。从图中可知,加工Ⅱ孔时,以Ⅰ孔为零位,主轴箱移动距离y=60mm,工作台面移动距离x=978-7-111-48239-0-Chapter06-29.jpgmm=25mm。

(2)确定孔坐标尺寸公差 孔坐标尺寸确定后,为保证孔中心距的公差,必须给出坐标尺寸的公差,利用三角形相似原理,可以计算孔坐标尺寸公差,如图6-16所示。

从图6-16可知,由L、x、y三边组成的三角形与Δx、Δy、ΔL三边组成的三角形相似,所以

978-7-111-48239-0-Chapter06-30.jpg

978-7-111-48239-0-Chapter06-31.jpg

图6-15 Ⅰ—Ⅱ孔坐标尺寸计算

978-7-111-48239-0-Chapter06-32.jpg

图6-16 孔坐标尺寸公差计算

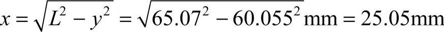
已知孔距L=65mm,ΔL=±0.07mm,x=25mm,y=60mm,那么

978-7-111-48239-0-Chapter06-33.jpg

从计算得到Δx=±0.027mm,在卧式镗床上加工找正较困难,所以在保证孔距(65±0.07)mm不变的情况下,适当放大x轴坐标尺寸公差,以便校正。

y=(60±0.055)mm,即图6-16中Ⅱ孔b位置,那么

978-7-111-48239-0-Chapter06-34.jpg

x=(25±0.05)mm

(3)列坐标镗孔表根据先Ⅰ孔后Ⅱ孔的加工顺序,将与加工有关的数据列入表6-1。

表6-1 坐标镗孔表

978-7-111-48239-0-Chapter06-35.jpg