12.2.2  沉孔结构尺寸的计算

12.2.2 沉孔结构尺寸的计算

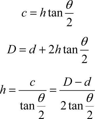
图12-3所示的沉孔结构的尺寸标注形式,可应用以下的计算公式:

978-7-111-48239-0-Chapter12-10.jpg

978-7-111-48239-0-Chapter12-11.jpg

图12-3 沉孔结构的尺寸计算