6.1.2 测量孔径的计算
在镗床上镗孔时,特别是应用双支承镗杆镗孔时,由于镗杆穿在孔中,用游标卡尺和内径千分尺测量比较困难,这时可用内卡钳和外径千分尺配合进行测量。
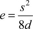
测量时,首先用外径千分尺把内卡钳张开,调整到孔的下极限尺寸d,然后把调整好的内卡钳伸入孔中,一只卡脚固定不动,另一只卡脚左右摆动,同时估计摆动距s,再利用公式e=
算出间隙e,把内卡钳的张开尺寸d加上间隙量e,即为孔径D的实际尺寸。由图6-5可知下面公式:

图6-5 用外径千分尺和内卡钳测量孔径

则
孔的实际尺寸为
D=d+e
式中 s——内卡钳摆动距(mm);
d——内卡钳张开尺寸(mm);
e——间隙量(mm);
D——孔的实际尺寸(mm)。