3.5.5  蜗轮蜗杆传动的计算

3.5.5 蜗轮蜗杆传动的计算

蜗轮蜗杆传动中,蜗轮与蜗杆两轴轴线空间相交成90°。通常蜗杆是主动轮,蜗轮是从动轮,有较大的传动比。其最大特点是体积小,减速明显,用它传动时可防止倒转(如起重葫芦)。

1.蜗杆的类型

蜗杆基本上与螺纹相似,它有左螺旋和右螺旋的区别,一般右螺旋用得较多。

蜗杆有单头和多头之分。蜗杆的头数就是蜗杆的齿数,一般蜗杆有1~4条线,有时也有6条线的。

蜗杆有轴向直廓蜗杆和法向直廓蜗杆之分,但常用的是轴向直廓蜗杆。轴向直廓蜗杆称为阿基米德蜗杆,它的轴向齿形两侧是直线。

蜗杆的轴向模数与蜗轮的端面模数相等。为了便于加工,规定蜗杆轴向模数和压力角与蜗轮端面模数和压力角为标准值。

国家标准规定的蜗杆模数值见表3-24。

表3-24 蜗杆的模数(GB/T 10088—1988) (单位:mm)

978-7-111-48239-0-Chapter03-72.jpg

2.蜗杆与蜗轮主要参数

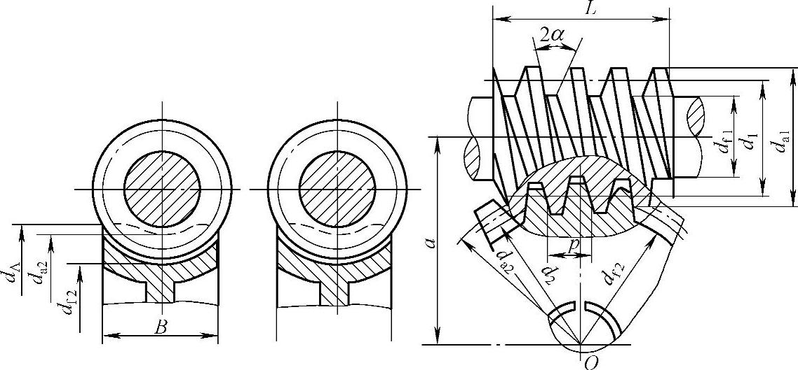
蜗轮蜗杆传动中的蜗杆与蜗轮如图3-19所示。

978-7-111-48239-0-Chapter03-73.jpg

图3-19 蜗轮蜗杆传动中的蜗杆与蜗轮

蜗杆与蜗轮的主要参数有两项。

(1)蜗杆直径 蜗轮是用尺寸和形状与蜗杆相似的滚刀(外径大于蜗杆外径,以便切出蜗轮的径向间隙)来加工的,蜗轮滚刀的尺寸不仅与模数有关,而且与蜗杆分度圆尺寸有关。如果模数相同而蜗杆的分度圆直径不同,那么加工时就要有各种不同直径的蜗轮滚刀,为了减少蜗轮滚刀的数目,同时又便于标准化,不仅要规定标准模数,同时还必须规定对应于一定模数的蜗杆分度圆直径,因此我国规定了蜗杆的分度圆直径系列,见表3-25。

表3-25 蜗杆的分度圆直径(GB/T 10088—1988) (单位:mm)

978-7-111-48239-0-Chapter03-74.jpg

注:优先采用第一系列。

(2)导程角 蜗杆的展开螺旋线与分度圆周线之间的夹角称为导程角,如图3-20所示,用代号γ表示。

978-7-111-48239-0-Chapter03-75.jpg

图3-20 蜗杆导程角

由此可知

978-7-111-48239-0-Chapter03-76.jpg

由上式可知,蜗杆直径系数q和线数z1确定以后,导程角γ也就定了。mq的取值见表3-26,导程角γ值见表3-27。

表3-26 mq的取值

978-7-111-48239-0-Chapter03-77.jpg

表3-27 蜗杆导程角γ

978-7-111-48239-0-Chapter03-78.jpg

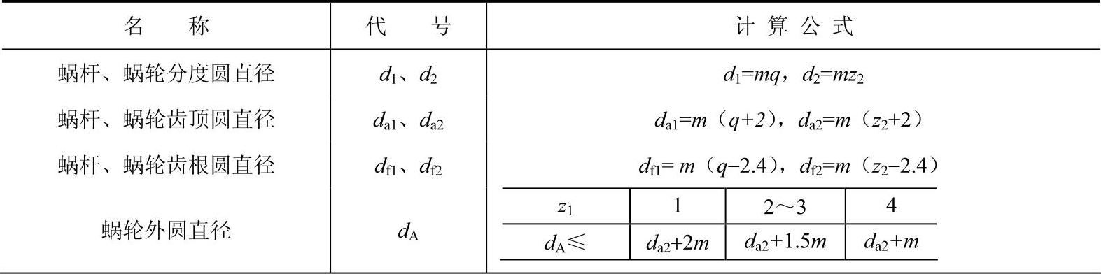
3.蜗轮蜗杆的几何尺寸计算

蜗轮蜗杆各部分的名称和代号参见图3-19和表3-28,蜗轮蜗杆的几何尺寸可用表3-28中的公式计算。

表3-28 蜗轮蜗杆尺寸的计算公式

978-7-111-48239-0-Chapter03-79.jpg

(续)

978-7-111-48239-0-Chapter03-80.jpg