3.6.5  圆形螺纹的计算

3.6.5 圆形螺纹的计算

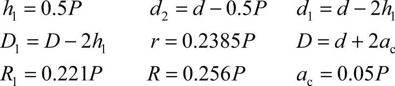
1.圆形螺纹的牙型及各部分代号(图3-26)

978-7-111-48239-0-Chapter03-91.jpg

图3-26 圆形螺纹的牙型及代号

2.圆形螺纹的相关计算及尺寸(表3-31)

978-7-111-48239-0-Chapter03-92.jpg

表3-31 圆形螺纹的直径和每英寸牙数

978-7-111-48239-0-Chapter03-93.jpg

注:直径105~200mm的螺纹,每英寸4牙。