6.1.1  安装镗刀的计算

6.1.1 安装镗刀的计算

正确、合理地安装镗刀是镗孔前一项十分重要的工作。镗刀的安装形式主要包括镗刀在刀杆上的安装类型、安装角度及镗刀的安装高度,要根据工件材料及镗削孔的结构类型、镗削刀具系统的刚性等来确定具体安装方法。如刀具系统刚性好,镗削浅孔、通孔时选择90°悬臂式镗刀杆,即镗刀可以垂直安装,否则应选择有一定倾斜角度的镗刀杆来安装镗刀。图6-1所示为单刃镗刀的安装形式。

978-7-111-48239-0-Chapter06-1.jpg

图6-1 单刃镗刀的安装形式

(1)镗刀头的安装角在一般的镗刀安装中,通常都有一个安装角,如图6-2所示。其目的主要在于增强刀具系统的刚性,以及使镗刀和压紧螺钉之间有足够的安装位置。

978-7-111-48239-0-Chapter06-2.jpg

图6-2 镗刀的安装角

(2)镗刀头的安装高度 镗刀安装位置的高低对镗削有直接影响,若镗刀装得低于所加工孔的中心线,则会由于切削力的作用使刀尖楔入工件;若镗刀装得高于所加工孔的中心线很多,则使镗刀实际前角减小过大从而影响切削加工。镗刀头的安装高度对刃磨的前角、后角的变化影响,如图6-3所示。

978-7-111-48239-0-Chapter06-3.jpg

图6-3 镗刀头的安装高度

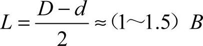
镗刀头的正确安装高度,在加工中等直径的孔时,一般来讲刀尖高出孔的中心线的尺寸为孔径的1/20。同时,镗刀头的悬伸量也不能过大,为了保证刀具系统的刚性,通常情况下,刀尖悬伸量可用下式计算:

978-7-111-48239-0-Chapter06-4.jpg

式中 L——镗刀头悬伸长度(mm);

D——工件镗削孔直径(mm);

d——镗刀杆直径(mm);

B——镗刀截面高度(mm)。

(3)浮动镗刀安装 根据镗孔的结构、尺寸及工件材料选择浮动镗刀和相适应的浮动镗刀杆,浮动镗刀的尺寸应用于千分尺测量,如图6-4所示。如尺寸不符合要求,应用手调整浮动镗刀至所需尺寸,一般浮动镗刀的径向尺寸取工件孔径的下极限尺寸。

978-7-111-48239-0-Chapter06-5.jpg

图6-4 浮动镗刀径向尺寸测量