3.圆弧与圆弧相交或相切的标准计算公式
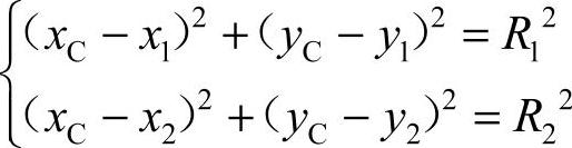
如图12-9所示,已知两相交圆的圆心坐标及半径分别为(x1,y1)、R1和(x2,y2)、R2,交点C的坐标为(xC,yC)。

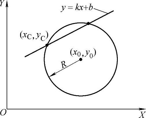
图12-8 直线与圆弧相交

图12-9 圆弧与圆弧相交
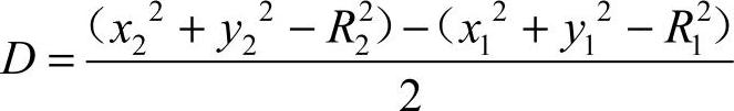
联立两圆方程得方程组

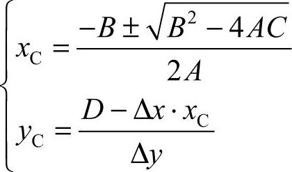
经推算后得到的标准计算公式为

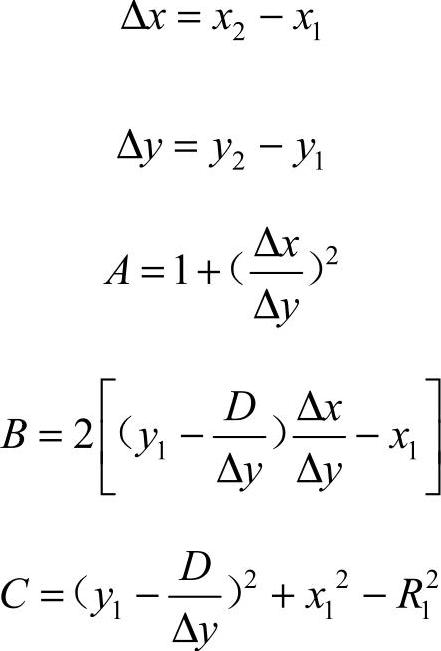
标准计算公式中的系数计算式为


由图12-9可知,两个圆弧相交可能存在两个交点,因此当使用上述标准计算公式求xC较大值时取“+”,当求xC较小值时取“−”。
当计算两个圆弧相切的切点坐标时,标准计算公式取B2−4AC=0,即
,其余计算公式不变。