11.7.2 正心矩方圆连接管
图11-23所示为正心矩方圆连接管的立体图和计算原理图。

图11-23 正心矩方圆连接管
a)立体图 b)计算原理图
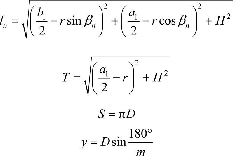
参照正心矩方圆连接管的折弯展开图11-24,其相关计算公式如下:

式中 ln——任一实长过渡线长(mm);
T——任一平面三角形高的实长(mm);
S——圆端展开长(mm);
y——圆端每等分弦长(mm);
a1、b1——方端里皮长(mm);
r——圆端中心半径(mm);
βn——圆周各等分点与同一横向直径的夹角(°);
H——圆端中心点至方端里皮中心点间的垂直距离(mm);
D——圆端中径(mm);
m——圆周等分数。
正心矩方圆连接管的折弯展开图如图11-24所示。

图11-24 正心矩方圆连接管的折弯展开图